Motor de comprensión y diseño de la caja de engranajes (2 / 10 paso)

Paso 2: Características del Motor (continuadas)

Poder
Energía del motor es la tasa a la cual el motor puede hacer trabajar.  Es que esencialmente una medida de qué tan rápido un motor puede hacer un trabajo.  Su valor en vatios está dada por la ecuación

(3)
SímboloNombreUnidadesDescripción
PEnergíaVatios (W)La cantidad de energía suministrada por el motor
τEsfuerzo de torsiónNewton metros (nm)La cantidad de esfuerzo de torsión aplicado al eje de salida del motor
ωVelocidadRondas por minuto (rpm)La velocidad de rotación del motor eje de salida

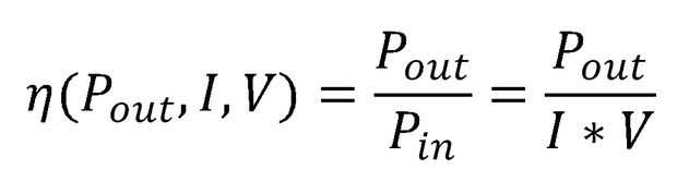
Eficiencia
Eficacia del motor es una medida de la cantidad de la energía eléctrica en un motor se convierte en energía mecánica.  Gran parte de la energía restante se transforma en calor, que puede causar un motor se queme si se opera a un esfuerzo de torsión/rpm donde su eficiencia es muy baja.  Eficiencia está dada por la ecuación

(4)
SímboloNombreUnidadesDescripción
ηEficienciaPorcentaje (%)El porcentaje de entrada de energía eléctrica en el motor que se convierte en energía mecánica útil
PaPotencia de salidaVatios (W)El motor de potencia en un determinado torque y velocidad
PenPotencia de entradaVatios (W)La cantidad de energía eléctrica suministrada al motor
MeCorrienteAmperios (A)La cantidad de corriente consumida por el motor
VTensiónVoltios (V)El voltaje en que funciona el motor

Crédito de Foto: http://www.engin.umich.edu/group/ctm/examples/motor/motor.html

Artículos Relacionados

DIY caja de engranajes planetario para motor de pasos Nema17

DIY caja de engranajes planetario para motor de pasos Nema17

Quería construir una caja de engranajes pequeña y ligera para un motor paso a paso (excusa: para la construcción de un extrusor de luz para un 3D impresora - no confiar en la configuración de bowden, y el conductor rescatado no tenga suficiente para
Diseños de corte caja con "embutido" del laser.

Diseños de corte caja con "embutido" del laser.

Me encanta hacer cajas con el cortador del laser. El cortador del laser hace que las piezas de la caja de corte fácil y preciso. Por una serie de lengüetas y ranuras en el borde de corte, las piezas encajan tan bien que casi no necesita pegamento par
Diseño de una caja de costura de cajón 21 (con revestimiento de cedro aromático) en sketchup

Diseño de una caja de costura de cajón 21 (con revestimiento de cedro aromático) en sketchup

El objetivo de este ible es mostrar y compartir el diseño que utiliza para la caja de costura que hice para mi esposa, pero también mostrar cómo me fui sobre el diseño de la caja usando Sketchup.La caja fue hace unos años atrás, así que no puedo most
Caja mágica: diseño su propia caja de

Caja mágica: diseño su propia caja de

ACERCA DE¿Qué pasa si usted podría hacer una caja para su propio diseño en un Fablab o en casa? La aplicación de la caja mágica te permite hacer precisamente eso! Se puede utilizar para crear un cuadro para cualquier producto que desee. Utiliza la fo
3D impreso diseño de la caja teléfono

3D impreso diseño de la caja teléfono

Este es un instructivo sobre cómo crear un diseño para una caja de teléfono impreso 3D utilizando la interfaz de diseño 3D de Autodesk.---Antes de comenzar---Materiales necesarios:digital o calibradores del dial (u otro dispositivo de medición precis
Cómo montar la caja de engranajes de motor doble Tamiya - propulsión barato pequeño robot!

Cómo montar la caja de engranajes de motor doble Tamiya - propulsión barato pequeño robot!

Caja de engranajes de motor doble Tamiya el es excelente para pequeños robots - es barato (8.95 en Pololu.com) y los motores son un montón lo suficientemente fuertes como para alimentar un pequeño robot.  Usted también puede elegir entre dos velocida
Diseño de una caja de PC desde cero

Diseño de una caja de PC desde cero

Hace aproximadamente un año, decidí que quería diseñar el caso de PC calidad de la producción más pequeño que puede albergar los componentes más de gran alcance. Esto significa refrigeración por agua, tarjeta de gráficos de tamaño completo, overclock
Criterios para el motor de ciclo Stirling de diseño

Criterios para el motor de ciclo Stirling de diseño

Este Instructable describe un motor de ciclo Stirling modelo construí. Más importante aún, se lista criterios de diseño, materiales de construcción y consejos para que usted puede construir uno de su propio diseño.Este tipo de motor se llama un motor
Diseñador de cubiertas caja gatito

Diseñador de cubiertas caja gatito

mi novio y yo estamos recibiendo un gatito 8 semana de edad en una semana, y ambos queríamos cajas de basura en nuestros cuartos de baño. ASÍ que fui lanzó todo este trabajo para hacer una caja de Castillo sólo para encontrar que no cabe!! sin embarg
Cómo modificar un motor cinemático de rotación continua (un robot caminante motor)

Cómo modificar un motor cinemático de rotación continua (un robot caminante motor)

este instructable es parte de la uno motor walker.Hay billones de tutorial como este, saber :-)Que donde tomar en la escuela durante el almuerzo se rompen con una cámara Sony Mavica (disquete).Febrero 5 de 2001, 12:18:50Paso 1: Cómo modificar un moto
Cómo desarmar y limpiar un motor de arranque para un motor Toyota 22R

Cómo desarmar y limpiar un motor de arranque para un motor Toyota 22R

Hola,Disfruto de las cosas que duran mucho tiempo. A menudo más bien mantengo un elemento, en lugar de reemplazarlo más adelante porque se rompió o no, dejándome varado.Tengo un Motorhome Toyota con motor 22R, y mientras estoy reconstruyendo el motor
Tiempo lapso Rover V2.0 para eMotimo TB3

Tiempo lapso Rover V2.0 para eMotimo TB3

Uno de mis favoritos proyectos DIY construía a un rover de lapso de tiempo para el eMotimo TB3. Al tiempo, era único en el hecho de que nadie tenía uno, menos de lo que he podido encontrar en internet. En lugar de estar limitado a una longitud fija d
Scooter eléctrico todo terreno

Scooter eléctrico todo terreno

al principio del año escolar 2011/2012, equipo de robótica de la escuela decidió finalmente desmantelar algunos viejos robots FRC que habían ido recogiendo polvo por seis o siete años. No tuvimos sirve para todas las partes que quitó los robots, así
BRICOLAJE teléfono controlado Rover FPV (rápido y ágil)

BRICOLAJE teléfono controlado Rover FPV (rápido y ágil)

Construyamos un Bluetooth / WiFi controló el FPV Drone! RoverBot es un Arduino altamente educativa ATV-abejón. Es fácil de hacer, fácil de programar y es un proyecto de gran arranque para aficionados! El bot es muy rápido y ágil, para no hablar de qu