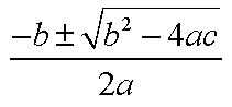
Paso 6: La ecuación cuadrática


(-b +/-sqrt (b^ 2 -4ac)) / 2a
(sqrt (#) = raíz cuadrada de #)
Donde un trinomio tiene el hacha de la forma^ 2 + bx + c.
Así que si desea utilizar la fórmula cuadrática con 1 x^ 2 + 3 x + 2, conectaría en así:
(-3 +-raiz (3 ^2 - 4 (-2) (1)) / 2.
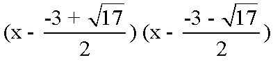
Esto simplifica a (-3 +-sqrt 17) / 2. Los factores de 1 x ^2 + x 3 + 2 sería (x - ((-3 + sqrt 17)/2)) (x - ((-3-sqrt 17)/2)). (Pega la respuesta a la derecha de "x -". Más información sobre por qué funciona, en el paso [8].)