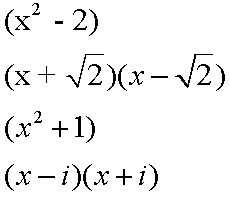
Paso 9: Factoring más: irrationals e imaginarios

Binomios con un número añadido a una variable cuadrada como (x^ 2 + 1) puede tenerse más usando números de imaginaria. "i" representa la raíz cuadrada de un negativo. Tan (x^ 2 + 1) puede tenerse en (x +) (x - i). Esto trae en el imaginario conjunto de números.