555 repelente de Crriter (2 / 5 paso)

Paso 2: Prototipo del circuito

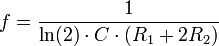
Este circuito es bastante recta hacia adelante, se compone de dos resistencias, dos condensadores y una batería de 9v, un temporizador 555, un zumbador piezoeléctrico. Las obras del circuito alrededor de la IC 555 temporizador muy versátil, se establecen los valores de los componentes del entorno de tal manera que produce una frecuencia de 61khz. Ellos se calcularon usando la forumula como la última imagen, si le resulta difícil entonces usted puede utilizar esta calculadora. El contador de tiempo en nuestro circuito funcionará en modo astable que pondrá a un flujo continuo de corriente de pulsos rectangulares con una frecuencia específica. El circuito es bastante recto hacia adelante la 10 k resistencia está conectado al pin 7 y el otro extremo a gnd, pin 8 está conectado a + 9v, pin 1 a - 9v, patillas 2 y 6 están conectado togather, resistencia de 6,8 k es conectado al pin 7 y su otro extremo está conectado al pin 6, 1nf condensador está conectado al pin 6 y el otro extremo a gnd , el zumbador se conecta a la clavija 3 mediante un condensador de 1uf. El esquema se une a la última imagen. Fue hecho con Fritzing .

Artículos Relacionados

Repelente de mosquitos avanzada y matamoscas

Repelente de mosquitos avanzada y matamoscas

Hola, en este tutorial voy a mostrarte cómo hacer un mosquito electrónico Ahuyentador y matamoscas controlada por arduino. Cada vez que usted se sienta cerca de su escritorio nadie gustaría oír sonidos de estallido de matamoscas pero un repelente de
Simple Sonic repelente de gatos

Simple Sonic repelente de gatos

gatos, adolescentes, niños: por lo menos uno de ellos le gusta usar mi jardín como un retrete, pero afortunadamente pueden todos ser rechazadas con cierta electrónica simple. Voy a usar un 555 astable para producir una señal de onda de square(ish) de
Simple generador de sonido IC-555

Simple generador de sonido IC-555

este es un simple generador de sonido se puede utilizar para varios purpous como una alarma, campana, sirena de policía, repelentes electrónicos de mosquitos, este proyecto utiliza un multivibrador en modo astable -ic 555, que produce la frecuencia d
Reposapiés de 555 gigante

Reposapiés de 555 gigante

Desde la creación de los circuitos integrados, no ha habido ningún circuito más útil, más icónico que el 555 temporizador creado por Hans R. Camenzind. Este circuito simple nombre es 3 paralelo 5 k ohm resistencias, ha permitido que ingenieros y afic
Repelente de garrapatas para gatos natural

Repelente de garrapatas para gatos natural

¿Cansado de tu gato siempre está infestado con garrapatas? ¿No demasiado contento con poner veneno en pet para mantener lejos las plagas? Luego, seguir leyendo!AF hace par de semanas, mi gato comenzó a tener un montón de garrapatas en la cabeza cuand
Emulador de Temporizador 555 para Arduino

Emulador de Temporizador 555 para Arduino

Se trata de una emulación de un chip 555 temporizador que funciona con un Arduino. Puede funcionar 555 circuitos más básicos sin modificar el programa o el cableado del emulador. La imagen muestra la configuración del emulador para ejecutar un circui
Ambiente (pero eficaz) Cat repelente

Ambiente (pero eficaz) Cat repelente

Aprender a hacer gato amable (pero eficaz) repelente con ingredientes que tengas en casa.Este spray es seguro de usar en sus muebles y todos los otros elementos interiores y exteriores y plantas. Este spray es ideal para el entrenamiento de su gato o
Aprender sobre el 555

Aprender sobre el 555

en este instructable te enseñaré todo lo que se necesita saber sobre el temporizador 555 IC. Si ya sabes de la viruta se puede comprobar hacia fuera mi diapositivas titulado "47 proyectos para hacer con un 555" te enseñará cada proyecto básico p
Circuito temporizador de micro 555

Circuito temporizador de micro 555

10 mm x 10 mm, este es uno de los más pequeños circuitos de C.I 555 que jamás verás!Paso 1: La IdeaHasta ahora esto sólo ha sido un proyecto de mina para reducir a un circuito 555 temporizador tan pequeño como pueda usando micro electrónica.El circui
Resina de corteza de abedul: Repelentes de insectos

Resina de corteza de abedul: Repelentes de insectos

resina/alquitrán de abedul corteza es una Brea oscura como la sustancia que es inflamable y puede ser utilizado como un repelente natural. Es una concentración de los aceites encontrados en el abedul.Paso 1: fuentes de Para este proyecto se necesita
Frambuesa Pi palomas repelente

Frambuesa Pi palomas repelente

Vivo en Buenos Aires y aquí las palomas son una plaga bíblica. Una vez comprado una lechuza trampa pero las palomas simplemente ignoraba - y reír incluso tal vez en él -. De hecho el único asustado con el señuelo de buho fue una noche borracha en el
Calculadora de Temporizador 555 para RaspberryPi, Arduino o un PC Linux

Calculadora de Temporizador 555 para RaspberryPi, Arduino o un PC Linux

Este instructable es una calculadora para determinar los valores de resistor y capacitor a usar circuitos Temporizador 555 en común. He incluido versiones para el RaspberryPi y haría el Arduino con circuitos simples a parpadear dos LED como el 555. L
Básico 555 temporizador LED intermitente del

Básico 555 temporizador LED intermitente del

de nuestra noche de construcción patrocinado por Jameco, esto es un 555 LED Flasher circuito bastante básica y común. Valores de los componentes pueden ser diferentes pero la función básica de un 555 IC es como un oscilador.Componentes requeridos1 -
Temporizador 555

Temporizador 555

Este tutorial ofrece circuitos de muestra para configurar un temporizador 555 en astable y monoestable y biestable modos como en profundidad discusión de cómo los trabajos del 555 temporizador y cómo elegir componentes para usar con ella. El temporiz