Paso 6: Dependencia de salida (opcional) a la distancia

Se recomienda utilizar el osciloscopio o multímetro para esta tarea.
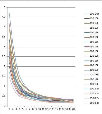
IR LED y fototransistor sensibilidad unidad del sensor a una distancia específica depende de los valores de resistencia. Tenía sensores que son más sensibles con distancias cortas, por lo que he ido cambiando valores de resistencia diferentes, mover obstáculos en rango 1-20 cm y la output(voltage) de grabación. Más adelante trazan la gráfica y he podido ver las mejores resistencias sensor para mi aplicación (véase el cuadro arriba).
Si no quieres hacer esta parte, usted puede usar R1 = 100 ohms y R2 = resistencias de ohm de 10 k como sugerí al principio y que funciona bien, pero tal vez no sea el par de resistencia más eficiente.