Paso 2: El LED del circuito diagrama esquemático



El diseño comienza con un esquema, el diagrama del circuito del LED.
Para diseños más complejos, es común empezar con un diagrama de alto nivel primero con las tecnologías de base utilizadas y cómo interfaz con otras piezas y sistemas a bordo y tal vez un diagrama de flujo de software si hay cualquier dispositivos integrados. Pero para este diseño simple, analógico, vamos a empezar con un esquema.
Esta figura muestra el circuito necesario para cumplir con nuestros requisitos.
Hay varias maneras de hacer que un LED flash y otra pero una de las maneras más simples y confiables utiliza un temporizador 555 configurado en modo astable. Estas son muy comunes interconexiones usadas para una variedad de propósitos y mantienen un ritmo constante, por lo que es perfecto para utilizar aquí. Caminando por el esquema, se utilizan los siguientes componentes:
- U1 es un típico Temporizador 555 en modo astable que proporciona un flujo continuo de pulsos rectangulares con una frecuencia determinada por unos pocos componentes externos. Los pulsos rectangulares conducirá un LED en la salida alta o baja. Estos contadores de tiempo a menudo pueden suministrar o fregadero corriente suficiente para varios LED (200mA!).
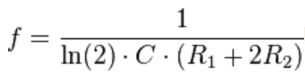
- C1 se carga a través de R1 y R2 pero sólo descarga a través de R2. Tenemos que asegurarnos de que R1 y R2 son una impedancia lo suficientemente alta para que la salida se mantiene cerca de cero durante la descarga. Elegir R1 10k e ir de allí. La ecuación para la frecuencia en modo astable se muestra así.
- RESET es tirado alto, como no estamos utilizando esa característica de la viruta.
- Control quedo flotando con un condensador de 10nF en él para reducir la interferencia. Esto pone el temporizador en su defecto activar ajuste de tensión de alimentación de 2/3.
- R3 se utiliza como un limitador de corriente para el LED. Hobby más LEDs como esta funciona en alrededor de 20mA máximo corriente directa. Calcular una resistencia limitante de corriente para un LED utilizando ley de Ohms. V = RI o voltaje = resistencia * corriente. El voltaje diferencial es de 9V (ya que estamos utilizando una batería de 9V) menos la tensión de paso (2.1V), dividido por la corriente de 20mA, que le da 345. Vamos a usar una resistencia de 330 Ohm, ya que es un valor común de prototipos.
Adición de R4 y D2 permite al temporizador para conducir D1 cuando alta y fregadero actual a través de D2 cuando baja.
Así que este temporizador convertirá el pin de salida alta y baja a 1 Hz. Cuando la salida es alta, se te enciende el LED y cuando apagado, está por debajo de la tensión de paso es necesaria para activarlo.
Para una configuración de LED dual, necesita alternar entre el suministro y que se hunde en la salida.
Estos esquemas fueron diseñados usando Altium Designer, un software de diseño de PCB de premium pero hay varios más bajo costo (incluso gratis) PCB diseño programas ahí. Encontrar lo que es correcto para usted.