Paso 7: Comprensión de la geometría de una cadena Plotter (trazador de la 'V')

Antes de que podemos empezar con el código, es importante entender cómo los motores pueden mover el LED al exactamente X, Y punto en el espacio que queremos. Afortunadamente, para variar, las matemáticas es increíblemente simple.
Si podemos trabajar la longitud de S1 y S2, las dos cadenas, y sabemos cuánto S1 y S2 actualmente son, entonces todo lo que tienes que hacer es tomar (Sgoal-Scurrent)
Medir la longitud de la cuerda en "pasos", su longitud de mundo real es completamente irrelevante.
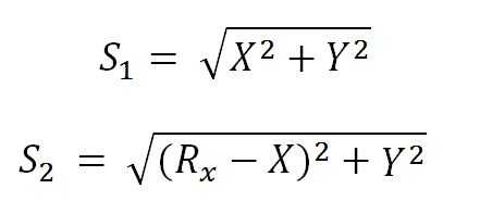
- S1 y S2 son las longitudes de las cadenas que queremos averiguar
- (X, Y) es el punto que queremos ir a
- RX es la distancia entre las dos poleas
- (0,0) es el origen (la parte superior izquierda de la polea)
Tenemos una posición (X, Y) que queremos ir a.
Pythagorus dice:

Y eso es todo!
Hay algunos supuestos realizados aquí:
- La cuerda no se estira (lo hace)
- Los motores no tienen límite de esfuerzo de torsión (que hacen)
- Hay suficiente tensión sobre las cuerdas en todas las coordenadas (no hay)
El resultado final de estos supuestos es que no podemos mover (x, y) demasiado cerca de los bordes (directamente debajo de los motores, porque una cadena va suelta) o cerca de la 'top' (directamente entre los motores) porque la tensión será demasiado y causar los motores saltar pasos. Esto se evita fácilmente y será tratado en el software.