Paso 1: Circuitos y hardware




1 x MPF102 JFET ($1,29)
1 x ATtiny2313 ($2,88)
segmento de 1 x 10 rojo LED barra display gráfico ($1,40)
2 x titulares de celda de moneda (SMD sewable, $2,50)
2 x CR2032 de pilas de monedas ($1,00)
1 x 20 pines zócalo de inmersión (para ATtiny2313)
1 x 20 pines DIP wirewrap zócalo (más pins para que LEDs pueden ser mayores))
interruptor x 1 (SPST-off rocker, $2,66)
1 x 0.1uF condensador
Resistores varios {10, 120, 330, 4.7K, 10 K, 22 K, 1 M} ohm
2 x conectores del bloque terminal ($1,10)
1 x conector de anillo para conectar a tierra la lata de mostaza
El total de los precios conocidos es menos de $15.
El circuito consta de tres partes; (1) el JFET y carga (2) los LED y resistencia limitadora de corriente y (3) el circuito RC utiliza jury-rig un ADC aproximadamente. En el debate subsiguiente, puede ayudar a ver el circuito esquemático.
Analizar las partes de circuitos requiere un poco de matemáticas. Yo he detallado los pertinentes cálculos y discusiones en un archivo adjunto a continuación, en caso de que te importa.
La parte JFET es básicamente de Mims, excepto que el 'ADC' sustituye el amperímetro, y elegí la resistencia de carga después de medir I_DSS, así que no había ninguna necesidad de un potenciómetro. Para medir el I_DSS, sólo la puerta de tierra y medir la corriente cuando conducido por, digamos, una fuente de 6 v (sólo es necesario entrar el JFET en saturación). Mi JFET tenía un I_DSS de acerca de 9mA (realmente probé unos JFETs y todos fueron 9mA, que parece un poco inusual, tal vez ellos son desechados?). Elegí una resistencia de carga de 330Ω, que da un rango de voltaje de drenaje de sobre V_CC-3V a V_CC. Con una fuente de 6V, este rango es de 3V-6V.
Puramente fuera de interés, medí drenaje corriente vs voltaje de la puerta para ver qué tipo de voltaje de la puerta cerró el JFET. Esto demuestra un V_P pinzamiento de sobre - 4V. Esto da una idea del potencial creado en el pasador de la puerta por estática. La trama se coloca por debajo.
He añadido una 1MΩ 'resistencia seguridad' a la puerta de entrada, probablemente innecesaria, pero reduce la posibilidad de que el JFET.
Idealmente, sería medir el drenaje actual y utilizar esto como una medida de la estática que afecta el pasador de la puerta. Esto implicaría normalmente un dispositivo de efecto Hall, o un bajo valor de resistor de detección de un op-amp para calcular la diferencia de voltaje (y ley de Ohm, por supuesto). Sin embargo, esto esta empezando a complicarse innecesariamente para el proyecto. Un método más sencillo es tener en cuenta que la corriente de drenaje va de 0-9mA y elegir una resistencia de carga adecuada (un extremo conectado a la red y para el desagüe JFET) que da un rango de voltaje viable para estas corrientes. Este voltaje solamente una forma de lectura es necesario, a expensas de ser muy sensibles a la tensión (que cambia).
Jugaba con la 10 pantalla por un tiempo y cuando el 100% del tiempo, es bastante tenue, que no augura nada bueno para que mi idea de efecto estroboscópico reducir la corriente. Cuando me iluminado estroboscópicamente, (obviamente) se convirtió en incluso regulador. Eligió un ciclo de deber del 20% y sustituyendo la actual resistencia limitadora de 10Ω, y este fue tenue, pero aceptable. Por lo tanto, decidí estroboscópico todos los LEDs en un ciclo de deber del 20%, tiene a lo más 2 de los 10 cualquier momento y conectar cátodos todos a una sola 10Ω actual limitación de resistencia. Esto probé y funcionó bien, y luego pasé unas horas justificando lo que había hecho. El análisis detallado se coloca por debajo, para aquellos que se preocupan.
Tenía código de un proyecto anterior que utiliza Timer1 para generar interrupciones cada 1mS, usé esto para el efecto estroboscópico LED. El software aseguraría que no hay LED permanecería durante más de 2 ms en cada 10mS ciclo (es decir. deber del 20%).
Una forma de utilizar la pantalla 10 sería mostrar un número binario de 10 bits que representa la tensión de la resistencia de carga. He intentado esto, pero era difícil de leer, así que decidí ir sólo con mostrar una gama de 0 (fuera) a 10 (todo sobre). Esto se veía bien y no requiere de explicación para comprender.
Para medir el voltaje del resistor de carga, necesitaba alguna forma de ADC. El ATtiny2313 no ADC, pero tiene un comparador analógico que puede utilizarse para implementar una rampa ADC. Una entrada para el comparador es la señal que se mide, la otra entrada es una rampa de pendiente conocida a partir de 0V. Midiendo el tiempo para la salida del comparador a voltear, la tensión de entrada puede ser averiguada. (De hecho, realmente no necesita ser una rampa, hará una señal cada vez más conocida, una rampa es generalmente preferida ya que ofrece sensibilidad igual a toda la gama de entrada. En nuestro caso, esto no importa). Para este diseño, se utiliza un circuito RC simple para crear una señal de creciente. ADC de rampa tiene algunas desventajas; (1) el tiempo de conversión varía con la tensión medida, y (2) la medición es afectada por cambios en la V_OH (que depende de V_CC). En este diseño, el primero no es un problema que a lo largo como no interferir con el efecto estroboscópico (que podría cambiar la clavija de corriente continua) y el segundo no es demasiado de un problema (aunque mostrando esto implica cálculo un poco más), principalmente porque la aplicación de ADC de rampa termina (indirectamente) medir el voltaje del resistor de carga dividida por la tensión de alimentación (o más bien V_OH).
Para evitar interferir demasiado en el efecto estroboscópico LED, quería la conversión ADC a pasar en 1mS. Decidí correr el ATtiny2313 a 1Mhz, que me da resolución 1μS tiempo. Elegí R = 4.7KΩ y C = 0.1μF, que da una constante de tiempo 470μS. Esto, grosso modo, sería el tiempo necesario para medir una tensión de V_OH (0.63). Para descargar el condensador de un poco más rápido, también conectarse un resistor de descarga R_DIS el condensador y eligió a R_DIS a descargar rápidamente (sin exceder especificaciones.). La elección de R_DIS se detalla a continuación. Cuando se carga el condensador, el perno de la 4.7KΩ de conducción resistencia es conducida alto, mientras que el perno de conducción R_DIS tri-indicó. Cuando descarga, el perno de la 4.7KΩ de conducción resistencia es tri, y el pin R_DIS de conducción es conducido bajo. El condensador descarga efectivamente en acerca de 60μS (5 constantes de tiempo). El tri-estado efectivamente desconecta la resistencia relevante del circuito.
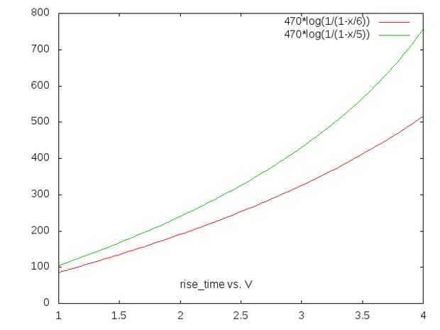
Cuando el JFET está apagado, el voltaje del resistor de carga estará en V_CC. Puesto que la 'rampa' es realmente un exponencial, él no puede nunca acabar conversión en este caso! Para evitar este problema, el voltaje de la resistencia de carga se introduce en un divisor de tensión (22K / 32K) de convenientemente alta impedancia (32KΩ) por lo que no interfiere sensiblemente con la tensión de la resistencia de carga. Con una fuente de 6V el voltaje del resistor de carga dividida oscila entre acerca de 2V a 4.2V, así que la conversión se terminará en menos de 550μS. Uno de los gráficos adjuntos a continuación muestra el tiempo de conversión frente a la tensión medida por una fuente de 5V y 6V. Un pequeño cálculo demuestra que para la fuente de 5V, el tiempo máximo será menor que 600μS. Así el tiempo de conversión total es menos de 1mS.
Usé un tablero de pan para probar la configuración, particularmente el efecto estroboscópico LED.
Águila yo solía dibujar el esquema, crear una tabla, hacer el diseño y la autopista. Hace un buen trabajo, pero 'piensa' que es para dos capas PCB. En cualquier caso, me ahorra tener que hacer un montón de trabajo aburrido. Usé algunos perfboard para los componentes y alambre magneto para conectarlos juntos. Antes de soldar realmente nada, coloque los componentes en el perfboard sólo para asegurarse de que las cosas realmente se ajusta. En esta etapa decidí que pondría el interruptor en la tapa de lata mostaza en lugar de al lado.
Taladré agujeros para dos separadores (ver la sección de ensamblaje) antes de colocar los componentes en el perfboard. La idea era que los dos separadores y el aislante de la sonda apoyaría el perfboard en la lata de mostaza.