
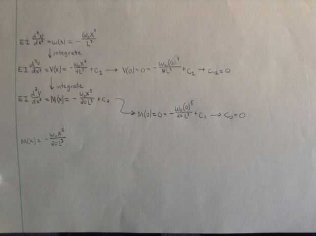
El propósito de este instructable es ir a través de una ecuación diferencial de cuarto orden para que encuentren el momento interno de un rayo. Para este instructable las condiciones de límite solamente son una carga distribuida, un extremo libre de la viga y un lado de la viga que es fijo. Al pasar por la ecuación diferencial (que se especificarán más adelante) se encuentra una ecuación por lo que es el valor del interno momento flector de la viga. Este proceso tiene muchas aplicaciones de ingeniería del mundo real que se aplican al mirar los diseños necesarios para garantizar seguridad.