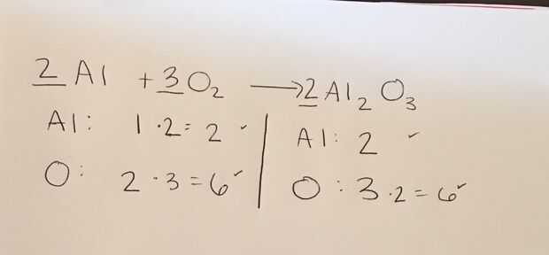
Cómo balancear una ecuación química (5 / 7 paso)

Paso 5: Colocando coeficientes delante de las moléculas

Después de que han multiplicado el número de átomos de cada elemento hasta que ambos lados sean iguales, pones el número, el coeficiente, de cuánto se multiplicaron el elemento y el lugar en frente de ese elemento o compuesto en la ecuación como se muestra arriba.

  • En el lado del producto, aunque ambos elementos no llegar multiplicados, todavía Coloque el número que se multiplicó el coeficiente delante del compuesto.

Artículos Relacionados

Cómo balancear una ecuación química (Final)

Cómo balancear una ecuación química (Final)

Este instructable le mostrará cómo balancear una ecuación química. Balancear una ecuación química es importante porque debe haber el mismo número de átomos en el lado inicial de la ecuación, así como en la parte final de la ecuación. El mismo número
Cómo hacer una rueda de cerámica $50

Cómo hacer una rueda de cerámica $50

puede utilizar un motor de ventilador de techo y un cubo de plástico para hacer una rueda de cerámica bastante decente por menos de $50.  La parte más costosa es el ventilador de techo, y usted puede recogerlos, a la venta, de $30, o en una venta de
Niños construcción - mano colorear una mariposa de cerámica

Niños construcción - mano colorear una mariposa de cerámica

Hola, mi nombre es Hazel y yo soy un makergirl. Recientemente recibí un conjunto de bolígrafos de cerámica y quería darles una oportunidad a cabo. Me acaba de pasar que un bastante aburrido mirando mariposa caja de dinero que era blanca. Pensé que se
Cómo dibujar una parca, estilo cómic.

Cómo dibujar una parca, estilo cómic.

Hola, este es mi guía sobre cómo dibujar una parca, en estilo cómic art!Paso 1: El esquema En primer lugar, esbozar hacia fuera el contorno de la figura. Sólo dibujar el cuerpo desnudo de ahora (sin capa) y elaboración de cada miembro, hacerlo en for
Hacer una Real vida cómic utilizando Comic vida Software

Hacer una Real vida cómic utilizando Comic vida Software

crear un cómic de la vida real es una gran actividad si tienes niños pequeños y definitivamente es algo que podrán disfrutar toda la familia. A menudo dejo mi computadora a mis primos menores cuando vienen para que pueden divertirse mientras estoy oc
Cómo hacer una historieta de cómic, Pop Art, desde una foto en Photoshop

Cómo hacer una historieta de cómic, Pop Art, desde una foto en Photoshop

Photoshop CC 2014 tutorial que muestra cómo convertir una foto normal en un clásico, estilo pop art de cómic, dibujos animados.Obtén hasta 20% de Photoshop + Lightroom! Sólo $7,99 p/mes: https://db.tt/4PNmz1S8Huy! Regular fuente: http://www.dafont.co
Cómo reparar una grieta en cerámica rota o recipiente de cerámica

Cómo reparar una grieta en cerámica rota o recipiente de cerámica

Cómo reparar una grieta de la rayita larga en cerámica y alfarería con integridad mecánica fuerteCuando un recipiente de cerámica tiene una rayita larga grieta, normalmente, es necesario que se rompa completamente antes de la reparación para reapir a
Un DIY de una tazas de cerámica tipo

Un DIY de una tazas de cerámica tipo

Este es un proyecto fácil gran Simple para hacer y muy barato también. es un gran proyecto para los niños y haría un gran regalo personalizado.ADVERTENCIA NO PERMITA QUE LOS NIÑOS USAN EL HORNO SIN SUPERVISIÓN DE UN ADULTO!Paso 1: Lo que usted necesi
Cómo usar una motosierra: postura ergonómica

Cómo usar una motosierra: postura ergonómica

Una motosierra es una herramienta poderosa y valiosa, pero también es la más peligrosa herramienta de mano que se puede comprar en el mercado abierto. Postura adecuada es absolutamente necesaria reducir la fatiga y evitar lesiones. Aprender las técni
Pastel en una taza de cerámica

Pastel en una taza de cerámica

esta receta es una de las mejores cosas que jamás inventadas por el hombre: alimento de microwavable. Concretamente, se trata de cómo hacer un pastel de café en una taza. ¿Si usted quiso desesperadamente, teóricamente podría utilizar un tazón de fuen
Robohoodie para las muñecas de niñas americanas

Robohoodie para las muñecas de niñas americanas

Sergiously, aprender a hacer un Robohoodie dulce con una remalladora para cualquier niño que tiene una muñeca americana de la muchacha. Si sientes la necesidad de echar a perder tu palo de golf (lo digo cariñosamente), hacer un equipo de Robohoodie q
Cómo balancear ecuaciones químicas (inicial)

Cómo balancear ecuaciones químicas (inicial)

MaterialesLápiz o bolígrafoHoja de papelExperienciaComprensión básica de los átomos y las moléculas inorgánicasConocimientos básicos de la multiplicaciónIntroducciónEcuaciones químicas proporcionan una fórmula para una reacción química. Generalmente,
Cómo balancear ecuaciones químicas

Cómo balancear ecuaciones químicas

MaterialesLápiz o bolígrafoHoja de papelTiempo requerido5-10 minutosExperienciaComprensión básica de los átomos y las moléculas inorgánicasConocimientos básicos de la multiplicaciónIntroducciónEcuaciones químicas proporcionan una fórmula para una rea
Experimento de química impresionante!! (Sólo 4 sencillos pasos)

Experimento de química impresionante!! (Sólo 4 sencillos pasos)

yo llamaría este experimento... Impresionante.  Se trata de los mismos materiales usados para crear una bomba de worx, pero en vez de atrapar el gas de hidrógeno dentro de un recipiente cerrado, el gas es capturado con un balón de partido estándar y