Paso 4: Multiplicar al número de átomos

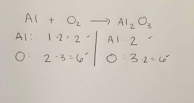
Observe cómo el número de átomos de cada elemento es diferente del número de átomos de al lado de ese mismo elemento en el lado del producto.
Para balancear la ecuación química, usted necesita para asegurarse de que el número de átomos de cada elemento en el lado de reactivo es igual al número de átomos de cada elemento en el lado del producto. En orden ambos lados iguales, tendrá que multiplicar el número de átomos de cada elemento hasta que ambos lados sean iguales.
Como se muestra arriba, la multiplicación de los átomos en el lado reactivo afectará a ambos elementos en el lado del producto.











