Paso 3: Identificar los átomos de cada elemento

Un átomo es el componente más pequeño de un elemento que contiene propiedades químicas de dicho elemento. El átomo de cada elemento contiene a los protones, neutrones y electrones de ese elemento.
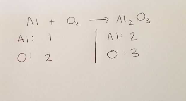
La lista de cada elemento en el lado el reactivo y el producto adicional le ayudará a identificar el número de átomos de que cada elemento contiene.
Junto a cada elemento de la lista, el número de átomos que se encuentran en cada uno de los elementos.
- en el lado de reactivos, al lado de Al, puesto 1
- al lado de O, poner 2
- estas mismas reglas se aplican a cada elemento en el lado del producto











