Paso 4: Programa de simulación


Utilizar la tabla de relación en el paso 3 y realizar un programa de simulación en Excel, en que coche el punto de partida, son entrada de coche a partir de dirección y destino pasando por puntos, luego de qué dirección steval y coche ángulos se suministran como datos de conducción automáticos.
(Vea adjunta archivo Excel "SimulationProgram1_CN06.xls").
Para la confirmación, compruebe por Excel simulación Security2.
(Vea adjunta archivo Excel "SimulationProgram2_CN06.xls").
Dibujar la trayectoria del coche con AutoCAD.
(Ver arriba figura.)
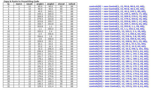
Obtener los datos de conducción automática (steval y auto dirección ángulos para cada uno de los pasos).
(Véase sobre la tabla).













