Paso 3: Determinar los valores de resistencia para el divisor de tensión

** Una nota rápida, las medidas adoptadas para modificar estos voltajes son constantes para varios objetivos. Se determinaron los valores que estamos utilizando aquí de nuestras limitaciones, que eran la pila AA como nuestro "bias" fuente de tensión para el diodo y la conocida tensión que queremos medir. Siempre y cuando tengas una fuente dedicada, aunque puede cambiar el voltaje de "bias" sin embargo como para obtener lecturas de diferente voltaje en el pin analógico (como se indica en el diagrama en el paso 2)
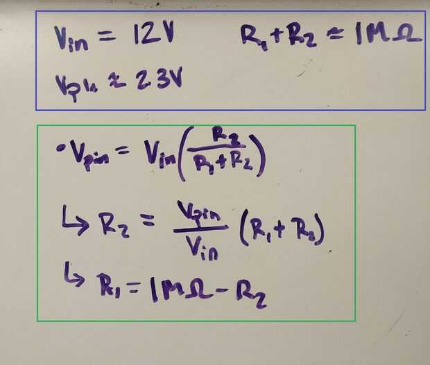
Así que ahora que tenemos un valor objetivo conocido (nuestro ~2.3V determinó en el paso anterior) y el valor de entrada de 12V, podemos hacer un poco de matemáticas para determinar los valores de resistencia que deberá satisfacer el circuito de funcionamiento con estas tensiones. Diseñé este circuito por lo que la resistencia total sería aproximadamente 1 MΩ (similar a la impedancia de un multímetro típico).
El cuadro azul en la imagen de arriba muestra nuestros valores conocidos, de los cuales podemos calcular los valores de resistencia que queremos con las ecuaciones en la caja verde. Los valores de R1 y R2 varían dependiendo de su entrada y tensión medida valores, sin embargo es muy probable que van a ser muy diferentes de un valor estándar de resistencia, por lo que necesitarás jugar con combinaciones de valores para conseguir cerca del valor. (Te sugiero tratar de no utilizar más de cuatro resistencias R1 o R2, puesto que el edificio a los valores exactos calculados no es crítica).
Una vez haya determinado qué resistencias va a utilizar, medir sus valores de resistencia tan precisamente como sea posible. Este paso es importante ya que se necesitan estos números para calcular voltaje de lo que realmente se está midiendo.