Paso 14: enfriamiento

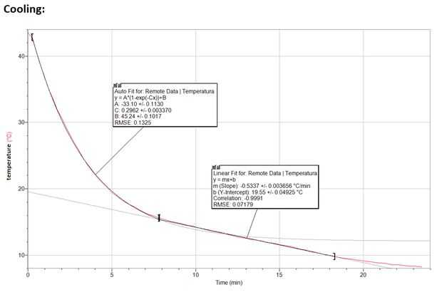
El gráfico muestra el enfriamiento del chocolate. El gráfico también consta de tres partes, la primera parte del gráfico muestra claramente que la temperatura disminuye exponencialmente y luego en el extremo de la línea de cambiar el ángulo que va más allá. Temperatura cae más lento, la parte media de la gráfica, es la histéresis durante el enfriamiento. Punto de fusión depende de la velocidad de enfriamiento, la razón es la cristalización de los cristales en el chocolate. Si el chocolate enfría más rápido punto de fusión se incrementa y viceversa, se puede decir que chocolate recuerda lo que sucedió anteriormente con ella.
En todos esos gráficos caben funciones para probar que es / está en lineal.