Cálculo hoja de cálculo: Método de Euler (4 / 4 paso)

Paso 4: Hacer difícil

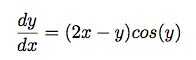
Ahora vamos a probarlo con una ecuación diferencial que no puede resolverse con los métodos tradicionales. La ecuación diferencial que se muestra a continuación está totalmente formada y no del modelo todo lo que sé. No sé cómo solucionarlo, pero todavía puedo vizualizar soluciones a él usando el método de Euler. La segunda foto son bocetos de la solución con diferentes condiciones iniciales. También se adjunta el archivo de excel si usted necesita ayuda.
Usando este método, esbozar soluciones a las ecuaciones diferenciales se convierte en muy fácil. Sólo asegúrese de que usar tamaños de paso lo suficientemente pequeño como para reducir la tasa de error. Si tienes tamaños de paso grande, la solución será muy inexacta. Desea que las columnas a ser largo por lo menos 100 células.
¡Buena suerte!

Artículos Relacionados

Cálculo de la hoja de cálculo: Método de Newton

Cálculo de la hoja de cálculo: Método de Newton

a veces necesitas encontrar las raíces de una función, también conocido como los ceros. A veces encontrar los ceros es bastante fácil. Otras veces, no es el caso. Tomemos por ejemplo el 6 º grado Polinómico se muestra a continuación. ¿Cómo encontrar
Programación Python - cálculo método de Newton

Programación Python - cálculo método de Newton

Corto programa Python que calcula una raíz cuadrada con el método de Newton.Archivo de Python que adjunto.
Hoja de cálculo - conducido paramétrico librería

Hoja de cálculo - conducido paramétrico librería

en el tutorial de biblioteca paramétricos, cubrimos cómo crear ecuaciones para usar la capacidad paramétrica de Alibre para nuestra ventaja. En este tutorial que nos unirá los separan las piezas, la parte posterior, el lado y la plataforma, a una hoj
Usos inusuales para hojas del secador

Usos inusuales para hojas del secador

Hojas del secador son algo que se puede encontrar en casi todos los americanos Inicio - ¿por qué no encontrar algunas aplicaciones extras para ellos?Secador de hojas tiene muchos usos inusuales, pero soy sólo publicar los has probado y han determinad
Colocación alternativa de hojas de sierra para un Sierra

Colocación alternativa de hojas de sierra para un Sierra

esto es un seguimiento de mi Instructable recientes en la fabricación de un ojo de la cerradura vio manejar del tubo.  Fui a buscar un nuevo ojo de la cerradura o brújula hoja de sierra y encontró que no existen.  Pude comprar una barata Sierra compá
Caída hoja hojas

Caída hoja hojas

Es la época de hermosos colores, sabores cálidos y algunos trabajos creativos (fondant).Me pidieron hacer un bebé ducha torta de hoja cubierta en fondant hojas y bellotas con un adorno de calabaza que es una bola grande de pastel de chocolate cubiert
Cómo hacer una almohada de trébol de cuatro hojas

Cómo hacer una almohada de trébol de cuatro hojas

tengo una cosa sobre almohadas.  Me encantan.  De hecho tengo un tablero Pintrest llamado: "Lo que es lo de me y almohadas".  Se puede ver aquí, http://pinterest.com/susanjones1107/what-is-it-about-me-and-pillows/.  Sí, casi lo resume.  Que agre
Extensión vacío de la hoja usando un soplador de hojas

Extensión vacío de la hoja usando un soplador de hojas

problema: tengo canales que están en el techo de una casa de dos pisos y con una escalera, maniobras a ellos para limpiar hojas es precaria.  Aquí les presento mi solución.  Le he dado mi hoja soplador/vacío e injertada en un flexible "canal suplemen
Cómo mantener a un animal doméstico insecto de hoja espinoso

Cómo mantener a un animal doméstico insecto de hoja espinoso

cómo cuidar su propio insecto de hoja Espinosa (extatosoma tiaratum), única especie de insecto palo de Australia! Estos son comúnmente encontrados en tiendas de mascotas en todo el mundo y son muy populares como mascotas.Paso 1: Lo que se necesita1:
Cómo hacer un 12 hojas Irirs mecánica

Cómo hacer un 12 hojas Irirs mecánica

materiales:1 - cadena bicicleta... sí una cadena de la bicicleta, ver qué es para usted.1 - hoja cobre1 - tablero MDF de 15mm (20 x 20 cm es suficiente)1 - tablero MDF de 3mm (20 x 20 cm es suficiente) (no en las fotos)Caso de tubo de 1 CDY también a
Bastidor de la hoja

Bastidor de la hoja

esta divertida actividad complementará su jardín en todas formas. Usé esto para a. proyecto de 4-H en mi Feria local del condado. Usted puede convertir esto en un pedazo de césped ornamental o un birdbath, las opciones son infinitas. Este proyecto du
Cometa de la hoja

Cometa de la hoja

este intructable le dirá cómo hacer una cometa de hojas, palos y cintas. Espero que te diviertas con este instructable.Paso 1: materiales Se necesita:-claro cinta-tijeras-cadena-2 palos-las hojas que desea si no son lo suficientemente grandes comoPas
Hoja de tubo de cartón

Hoja de tubo de cartón

Ok esto es una espada fría hecha totalmente de tubos de cartón y cinta adhesiva. Es bueno para las peleas de espada con amigos. Su también bastante robusto y no lastimar demasiado malo si usted no swing duro.POR FAVOR LEA TODAS LAS INSTRUCCIONES PRIM
Sushi Seaweedless orgánica - crece tu propio sushi envolturas de hojas comestibles, fácil de cultivar.

Sushi Seaweedless orgánica - crece tu propio sushi envolturas de hojas comestibles, fácil de cultivar.

PRÓLOGOSi como nosotros, está preocupados por la contaminación del mar y, a continuación, busca para hacer sus abrigos de sushi de algo que puede crecer a ti mismo. El siguiente es uno de los más fáciles y más sabrosos que he encontrado.Capuchina tro