Paso 1: Nitty Gritty
¿Ha notado que aguas poco profundas es transparente, mientras que un agua más profunda es opaco? Cuanto más gruesa es un substrato transparente, la luz se atenúa. Las resinas imprimidas por las impresoras 3d, como el Objet Connex 500, son realmente transparentes en capas delgadas. Podemos crear un gradiente regulando el espesor de un material de un solo color y capas sobre un segundo material de otro color.
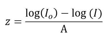
Atenuación de la luz a través de un material no es lineal. Esto hace las cosas un poco difícil, porque no hay una relación uno a uno entre la profundidad y escala de grises. En otras palabras, si conseguimos blancos 0" grueso y negro en 1" de espesor, no significa que obtendremos un gris neutro en 0.5". Por suerte algunas personas inteligentes averiguaron la relación, que se rige por esta ecuación:

que tiene este aspecto:

'I' es la intensidad de la luz varía con la profundidad de los materiales, 'z'. 'I0' es la intensidad inicial, que se asume que es 1, o total. 'A' es el coeficiente de atenuación para ese material. Cuenta de que pequeños cambios en profundidad están vinculados a cambios más grandes en intensidad, pero a mayor profundidad, cambios tienen menos impacto en la intensidad. Cuando un sustrato empieza a opaco, pasa rápido.
Lo que necesitamos averiguar es qué profundidad es necesario alcanzar una determinada intensidad. La pieza que falta es el valor A, que es dependiente en el material para la capa superior de resina. Por lo tanto, lo primero que debemos hacer es buscar una A la resina que resulta en una salida de impresión que coincida con la foto de entrada. La forma por que nos preocupamos soluciona para el z: profundidad

Para encontrar el mejor valor de la A, hice un montón de pruebas en distintos valores. Probé ambos negro sobre blanco y blanco sobre negro. Negro sobre blanco produce una imagen de tono sepia, y blanco sobre negro es más azulado.

Evalué el resultado buscando la mejor continua en escala de grises. Me ha gustado las impresiones de varios valores de la A. Algunos hacen una imagen más oscuro y sombrío. Pero, para el negro sobre blanco, el valor que he encontrado para producir la reproducción más exacta fue A = 120 (esto era verdad para Tango plus y Vero negros de Objet). Negro completo ocurre a una profundidad de aproximadamente. 04". Aunque el blanco sobre negro produce resultados decentes, encontré que al imprimir fotos reales, los blancos fueron deslavados. Creo que es porque el blanco es más transparente y así debe ser impresa con mayor profundidad para llegar a blanco completo. Esto le da más tiempo a la luz de dispersión, lo que significa que perder detalle.
Una cosa más vale la pena mencionar – es el espesor de la capa de la impresora de Objet. 032". A profundidades someras de negro, donde pequeños cambios en profundidad pueden tener grandes cambios en la intensidad, el espesor de la capa limita la resolución de escala de grises. Tonos más ligeros no pasará suavemente en uno otro.