Paso 3: Anemómetro - impresión 3D














El anemómetro es un dispositivo para medir la velocidad del viento.
Utilizamos la velocidad del viento en nuestros cálculos para predecir donde impactará los cohetes.
Materiales:
eje barra de 1 x 6mm diámetro, longitud 22cm
Cojinete de 1 x 686ZZ *
Cojinete de 1 x 696ZZ *
2 x arandela Clipsensor de efecto Hall x 1 (cierre US1881 o interruptor de OH090U)
6 x imanes redondos (diámetro 5mm, 2.7mm - 3mm altura)
Tuercas y tornillos M3.
* Tuvimos los rodamientos por lo que hemos utilizado, puede utilizar diferentes rodamientos pero tienes que cambiar los modelos.
Utilizamos el torno para hacer unas ranuras en la barra para empujar la arandela clip que evita que el eje para mover o caer cuando está vertical. Si el torno no está a mano puede imprimir o pegar el tapón de la barra antes o después del cojinete.
Aquí encontrará toda la STL archivos que usted necesita para imprimir el anemómetro.
Montar las piezas como se aprecia en las fotos anteriores.
Cuando se monta el soporte de los imanes los pedidos de imanes depende del sensor de efecto hall elija.
Si el sensor es tipo de cierre debe enfrentar los imanes en polos opuestos de cada par (N, S, N, S, N, S) desde el sensor de cierre cambio su estado según el polo que sentido.
La función del sensor es para darnos los interrumpe cuando los imanes pasan delante de él, que podemos conocer la velocidad del viento.
El siguiente paso es averiguar lo que es la velocidad del viento de la frecuencia de interrupciones del dispositivo.
Para ello utilizamos túnel de viento de Afeka Facultad de ingeniería.
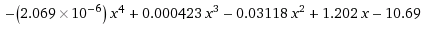
Para cada conocido velocidad del viento recorder el número de interrupciones por segundo y de todos los datos encontramos un polinomio que si le damos el número de interrupciones por segundo obtenemos una buena aproximación de la velocidad del viento.
Para nuestro anemómetro específica el polinomio es:

Puesto que cada impresión es única este polinomio probablemente no será exacto para su anemómetro pero puede ser lo suficientemente cerca. La velocidad del viento que podemos medir es de 0,6 m/s hasta 17,5 m/s.
Si la fricción de sus rodamientos será menor puede medir aún menor velocidad del viento.
El experimento: