Paso 1: Calcular cuadrados de números de 26 a 75

Uso después del método para calcular cuadrados de números de 26 a 75:
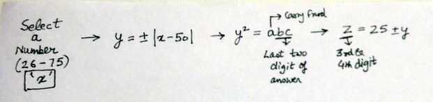
a) selecciona un número 'x' que van de 26 y 75.
Ejemplo: x = 38
b) encontrar la diferencia de este número de 50, es decir y = + |x-50|. Esta diferencia estaría entre -25 y 25.
Ejemplo: y = (38-50) = -12
c) encontrar el cuadrado de esta diferencia. Y2 = (x-50) 2. Dos últimos dígitos de esta plaza se formarían los dígitos del primer y segundo lugar de la derecha en la Plaza final. Cualquier tercer dígito de esta plaza se llevó adelante el dígito en cientos lugar.
Ejemplo: y2 = (-12) 2 = 144
En el ejemplo 44 formarían los dos últimos dígitos del cuadrado final mientras que 1 se llevaría a más de a tercer dígito de la derecha.
d) añadir la diferencia a 25 es decir, z = 25 + y. El resultante formaría el tercer y cuarto dígito de la derecha
Ejemplo: z = 25 – 12 = 13
e) reunir a los primeros dos y últimos dos dígitos de la Plaza final es decir,-z-_y2_
Ejemplo: 13 + 144 = 1444













