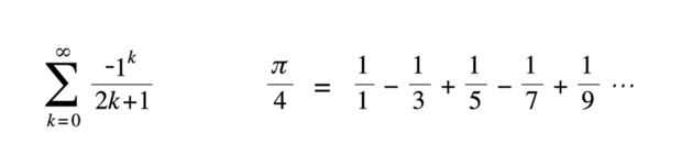
Paso 3: La fórmula de Leibniz




Mientras buscaba diferentes formas de calcular el pi nos topamos con una gran cantidad de funciones diferentes completar esta tarea. Algunos eran muy complejo y rápido y otra eran muy simple, pero también tomó un tiempo para encontrar unos pocos dígitos.
Puesto que queríamos trabajar con simples calculadoras digitales que decidimos ir para uno de los métodos más simples como la «fórmula de Leibniz». La fórmula de Leibniz es una serie infinita de adiciones y sustracciones de cocientes. Cada denominador posterior de esta serie es la suma de las anteriores una más dos, a partir del valor uno. Eso es todo. Tomamos un vistazo a lo que sucede con estos cálculos y trató de romper hasta su núcleo.
1) esta es la definición oficial de la fórmula de Leibniz.
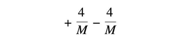
2) primero vamos a deshacerse de la parte matemática confusa.
3) usted puede haber notado que hay una parte repetitiva en esa fórmula. Básicamente es una repetición infinita serie de adiciones y sustracciones de cocientes. El denominador se aumenta en dos.
4) hay sólo una variable, que llamamos M.