Paso 1: El meollo: ecuaciones de movimiento


Este paso no es necesario leer y entender completamente para usar el software, pero que toque en las matemáticas detrás de la creación de harmonographs, para nosotros los nerds matemáticas.
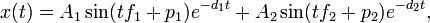
De la física, sabe el movimiento básico de un péndulo, el mecanismo primario en la máquina de Blackburn, es sinusoidal.* el movimiento de eje x y el eje y es entregado por péndulos, que significa la ecuación básica para el movimiento a lo largo de cada eje es una sinusoide. Cuando se agrega en la rotación de la superficie de dibujo, se introduce una sinusoide más para el movimiento del eje x y eje y.
Porque se trata de una máquina del mundo real, sí hay fricción en el movimiento de los péndulos; por lo tanto, las caries que hace pivotar péndulo cero sobre la progresión del tiempo - esto es la amortiguación factor.* * consolidar estos principios, uno puede generar las ecuaciones en imágenes de este paso (fuente imagen: Wikipedia).
Con un dispositivo físico, la amplitud se ajusta por altura de punto de lanzamiento de péndulo, la frecuencia se ajusta cambiando la altura (no cantidad) de la masa fija sobre el péndulo, fase es cambiada por diferentes el calendario de lanzamiento de péndulo y la amortiguación está sintonizada al cambiar la cantidad de peso en el péndulo.
* Sinusoides tienen una amplitud (cómo intenso o alta alcanza una onda), frecuencia (con qué frecuencia oscila la onda) y fase (desplazamiento en el tiempo).
** El factor de amortiguación es representado matemáticamente por un término exponencial. Descomposición del movimiento (quitar energía) está representado por un exponente negativo, mientras que un aumento en el movimiento (agregando energía) está representado por un exponente positivo.