Filtros de paso alto y bajo pasivo (2 / 3 paso)

Paso 2: Calcular una frecuencia de corte

Las curvas muestran la tensión de la señal que sale de los filtros, que 1V en la entrada de los filtros. La línea azul es un paso alto y el rojo es paso bajo.
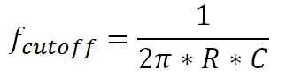
En el punto donde la tensión se ha reducido - 3db (aprox. 0.7V cuando la entrada es 1V) se llama la frecuencia de corte. Se calcula utilizando la fórmula 1 / (2 * pi * R * C). En el circuito de ejemplo el resultado es aproximadamente de 159 Hz:
1 / (2 * pi * 1000 ohmios * 0,000001 Farad) = 159,15 Hz

Artículos Relacionados

Filtro de arena de sistema riego pasivo de chatarra!

Filtro de arena de sistema riego pasivo de chatarra!

Mi bien fue conectar los aspersores que se utilizo para el riego con partículas de arena que pasa a través de la cabeza del pozo. Cansado de limpiar las pantallas de la regadera que decidí abordar la cuestión en su origen y atrapar la arena sale de l
PCB cuadrotor (sin cepillo)

PCB cuadrotor (sin cepillo)

Quadrotors están los Segways nuevos: una plataforma auto estabilizador, algo mágica y fascinante que cada persona tecnología quiere tener. Usted no puede montar un cuadrotor (bueno, tal vez usted puede), pero vuelan, y se puede construir uno mismo de
Hacer una tarjeta de la foto de tu amigo

Hacer una tarjeta de la foto de tu amigo

gané recientemente el acceso a un cortador de papel silueta CNC, y que inmediatamente quería cortar cuadros complicados. Aquí está un tutorial rápido sobre cómo convertir una imagen en un contorno de la silueta y luego en una tarjeta.Paso 1: Seleccio
Circuitos de filtro pasivo

Circuitos de filtro pasivo

Este instructivo está diseñado para mostrarle cómo hacer varios circuitos de filtro diferente, en particular, paso bajo y filtros paso alto, junto con una discusión de muesca trampa filtros y filtros paso de banda.¿Cuáles son los filtros?¿Qué es un f
Filtros Band-Pass activo

Filtros Band-Pass activo

este instructable es mostrar al lector cómo diseñar un filtro activo pasabanda FROM SCRATCH !Paso 1: Procedimiento de diseño estándar Hay algunos criterios de diseño que usted necesita para crear primero antes de saltar en construir el filtro activo.
Filtros RC

Filtros RC

En este instructable les mostraré cómo hacer simple RC paso alto y paso bajo filtros.¿Por qué? Filtrar ciertas frecuencias, que pueden ser útiles al construir sobre el circuito para hacerlo más complejo. Puede que desee un rango específico de frecuen
MJRoBot I - sencillos pasos para construir un robot autónomo.

MJRoBot I - sencillos pasos para construir un robot autónomo.

Hace unos meses, terminé mi primer curso de electrónica online. Fue una nueva experiencia, pero despertó en mí una vieja pasión mucho sueño, la electrónica!El curso era: EE40LX: Interfaces electrónicas, a través de la plataforma EDX y administrado po
HackerBoxes 0007: Paisajes sonoros digitales

HackerBoxes 0007: Paisajes sonoros digitales

Sonoro! Este mes, HackerBox los Hackers explorando paisajes sonoros digitales. Música, pitidos, zumbidos, y señales de audio de todo tipo pueden generarse mediante una variedad de modernos dispositivos electrónicos. Echemos un vistazo a simple 8 bits
Detector de tensión de Arduino

Detector de tensión de Arduino

De EE122B, introducción a la electrónica biomédica, Universidad de StanfordImpartido por el profesor Greg Kovacs, primavera 2014El problema:El estrés es una parte omnipresente de la trepidante vida moderna. Además, hay un creciente cuerpo de investig
¿Generador de funciones analógico

¿Generador de funciones analógico

eres enfermo de 555 temporizadores? Estoy seguro. Es por eso que decidí construir un generador de funciones semi decente como mi proyecto de término en mi curso de electrónica analógica. Este diseño es capaz de producir un cuadrado, triángulo y aprox
Construcción de un cuerno golpeado ligeramente

Construcción de un cuerno golpeado ligeramente

A poco fondo primero: ha participado activamente en la comunidad audio durante bastante tiempo y han construido muchos, muchos altavoces y subwoofers. Completa gama, multi manera, cuernos cargados frontales, trasero cargados cuernos, líneas de transm
Monitor de presión arterial

Monitor de presión arterial

En nuestro curso de instrumentación biomédica, creamos a un monitor de presión arterial. Este monitor de presión arterial mide la presión arterial mala (mapa) y aproxima a la presión sistólica y diastólica. Requiere el uso de un transductor de presió
Señal óptica transmisor (doble frecuencia)

Señal óptica transmisor (doble frecuencia)

Vivimos en una época en la que nos hemos acostumbrado a la comodidad de gadgets WiFi que nos rodean. En algún momento creo que todos nos hemos preguntado cómo funcionan estos aparatos inalámbricos. A pesar de que la ciencia detrás de él se puede enco
Telémetro infrarrojo caseros (Similar a Sharp GP2D120

Telémetro infrarrojo caseros (Similar a Sharp GP2D120

aquí es mi instructable sobre cómo construir un corto muy sencillo (para algunos!) sensor de infrarrojos telémetro/gama gama. Cámaras de telémetro infrarrojo son muy útiles en un número de proyectos. La mayoría de ellos provienen de detección de obst