Paso 17: (Ciencia) selección de cargador de batería



De carga: Baterías como cargarse de una cierta manera, especialmente cuando han sido profundamente descargadas. Este tipo de carga se denomina carga regulada de multi-step, o simplemente 'smart de carga'. Asegúrese de que obtener un cargador inteligente y no un tonto cargador 1 paso cram it en allí. El perfil típico de carga de un cargador inteligente es como sigue:
Paso 1. Carga a granel: hasta 80% de la batería capacidad de energía se sustituye por el cargador a la máxima tensión y corriente nominal del cargador. Cuando el voltaje de la batería alcanza un 14,6 14,8 voltios salta al paso 2.
Paso 2. Carga de absorción: El voltaje se lleva a cabo en un constante voltios 14,6 14,8 y el declive actual hasta que la batería está casi completamente cargada.
Paso 3. Carga flotante: Este es un voltaje regulado y es generalmente menos de 1 amperio de corriente. Esto traerá la batería 100% cargada o cerca de ella. La carga flotante no hervir o calentar las baterías pero se mantendrá las baterías al 100% la preparación y evitar ciclismo y problemas de descarga durante la prolongada inactividad.
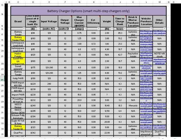
Seleccionar un tamaño de cargador: Fabricantes de baterías de la mayoría recomiendan dimensionar el cargador para ser a lo más el 25% de la capacidad de la batería (en Ah) o C-tasa de 0.25. Así, 100 Ahr 48 voltios Batería llevaría a lo más un Charger de 48 voltios 25 amperios (o menos). Cargadores más grandes se pueden utilizar para disminuir el tiempo de carga, pero riesgo de dañar la batería.
Se pueden cargar baterías a través de la unidad (suma de las tensiones de cada batería conectada en serie y carga en tensión) o puede utilizar un cargador múltiple de salida o 4 cargadores para conectar y cargar cada batería individual. Duración de la batería puede aumentar potencialmente cargarlas individualmente vs con un cargador de serie debido a la atención individual que las baterías.
Originalmente encargué los cuatro de las baterías en serie con un cargador a bordo. Pudo haber sido demasiado caliente o demasiado lleno de baches pero porque mi cargador se rompió finalmente. Terminé reemplazándolo con 4 cargadores individuales de carga del puerto. Carga de cada batería individual les da más atención y es mejor para ellos de todos modos, pero la nueva pila cargador era tan grande que tenía que montar en mi garaje en vez de en mi bici.
Nota que cada uno de 4 baterías en 12v-10A de carga simultáneamente la misma cantidad de tiempo que usando un cargador de 48v-10amp para cargar el Banco.
Otras cosas a tener en cuenta:
* Máxima temperatura segura de la batería: 125° F (51,7 ° C) parece ser el estándar de la industria, aunque algunos especifican 100° F
* Para prolongar la duración de la batería, debe devolver la energía que utiliza cuanto antes después de usarlo. Si no la batería puede sulfato más rápido que de lo contrario tendría (una gradual y permanente reacción química que reduce el rendimiento y la longevidad). También, cuando comienza la carga de la batería, llenarlo completamente. Undercharging una batería permitirá todavía sulfatación de la batería de la porción no reactivada por el ciclo de carga incompleto. Tenga en cuenta que esto no es un 'efecto memoria'. Baterías de plomo ácidas no tienen un efecto de memoria. No hay ningún beneficio para descargar completamente una batería antes de recargarla. De hecho, descargas más profundas, reducirá el número de batería de ciclos de vida!
* Las baterías son más felices cuando se dejan sin usar con un cargador de goteo en ellos.
* Si usted no puede decidir entre dos opciones de cargador gran entonces algunas cosas extras cool para un cargador que se incluyen: protección de sobrecarga térmica, compensación térmica (carga diferentemente en diferentes temps), a prueba de chispa, impermeable, protección de la polaridad (montan al revés no romperla) y luces indicadoras. Me gusta especialmente la 'Oferta de pilas' línea de cargadores.