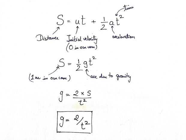
Paso 7: Calcular el 'g' de tiempo de vuelo

Aquí otra vez utilizaremos la ecuación de Newton que-
Distancia recorrida = (velocidad de inicial * tiempo de viaje) + (aceleración * (tiempo de viaje)2) / 2
En nuestro caso estas variables lleva siguiendo valores -
- Distancia recorrida = 1 metro
- velocidad de inicial = 0 m/s como partimos de resto
- aceleración = g
Por lo que reduce la ecuación a
1 = (g * (tiempo de viaje)2) / 2
Por lo tanto,
g = 2 / (tiempo de viaje)2
Así que después de que hagamos el experimento vamos a utilizar esta ecuación para calcular el valor de 'g' y encontrar la masa de la tierra. En caso de duda consulte la imagen adjunta o el vídeo.