Paso 10: Resultados y masa de la tierra

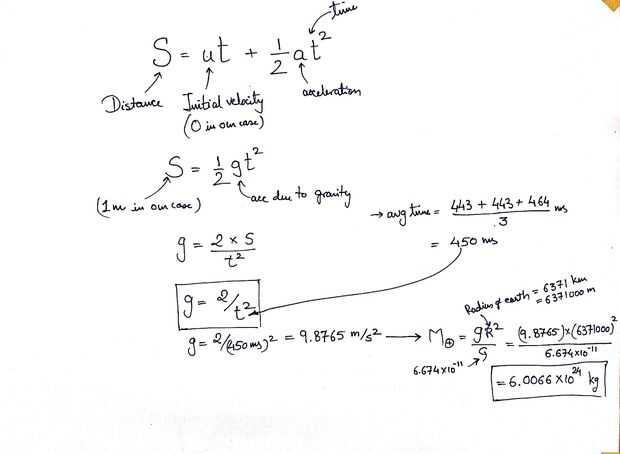
Después de repetir este experimento para 3 veces quedé tras los resultados en términos de tiempo de vuelo.
- 443 ms
- 443 ms
- 464 ms
Permite tomar el promedio.
Promedio de tiempo de vuelo = 450 ms
Si sustituimos este valor en la ecuación para obtener la aceleración debido a gravedad tenemos aceleración que alrededor de 9.8755 m/s2. Como se ve en la imagen adjunta.
Finalmente sustituyendo este valor de 'g' para obtener la masa de la tierra tenemos que estar cerca de 6.0066 x 1024 Kg, como se puede ver en la imagen adjunta.
Masa real de la tierra según google es 5.972 x 1024 kg. Creo que tenemos cerca.
Gracias por su tiempo, en caso de duda consulte el vídeo o ponerlo en los comentarios, estaré encantado de ayudar.