¿Qué es un divisor de voltaje?
Un divisor de tensión, como su nombre indica, es un circuito que toma un voltaje de entrada y pone una tensión de salida es igual a una fracción de la tensión de entrada. El circuito sí mismo es simplemente una fuente de tensión conectada a dos resistencias en serie, con salida entre las dos resistencias como se muestra a continuación.

¿Cómo funciona este circuito?

La clave para entender cómo funciona el divisor del voltaje es saber que la corriente, , debe ser igual en ambas resistencias si no hay ninguna corriente absorbida a la salida. Usando la ley de Ohm (V = IR, voltaje = corriente x resistencia), vemos que la caída de tensión en cada una de las dos resistencias es proporcional a su resistencia. Por ejemplo, el voltaje de entrada se reparte uniformemente en ambas resistencias si los resistores tienen las mismas resistencias. Para ponerlo otra manera (y realmente obtener una fórmula para el voltaje de salida) calculemos actual en términos de la tensión de entrada y la resistencia total usando ley de Ohm de los circuitos.

Calcular la corriente del circuito en cuanto a la tensión de salida, una vez más usando ley de Ohm.

La caída de tensión en la resistencia de segundo es igual a la tensión de salida. Tenga en cuenta que estas dos corrientes son iguales, como hemos dicho antes, así que podemos establecer dos ecuaciones iguales a uno otro y resolver para la tensión de salida.

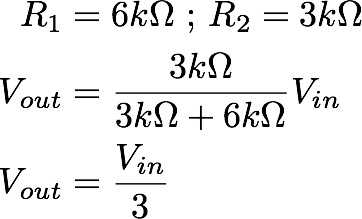
Esto demuestra que la tensión de salida está determinada por el cociente de la resistencia de la segunda resistencia a la resistencia total de las dos resistencias.
Un ejemplo rápido
