Paso 2: Conversión de vidrio parámetros a parámetros de Illustrator






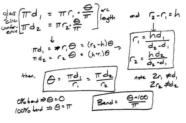
Tenemos tres parámetros para los vasos cónicos - superior e inferior diámetro (d2, d1 respectivamente) y la distancia a lo largo del vidrio entre estas mediciones (h). Por favor sólo medir las secciones cónicas.
Queremos los parámetros necesarios para hacer un arco - dentro y fuera de radios (r1 y r2 para vasos de cono invertido) y el ángulo de este arco subtiende (theta).
Tenemos tres incógnitas y podemos escribir tres ecuaciones independientes y simultáneas, y porque somos muy buenos en las matemáticas, podemos masaje estas ecuaciones en formas que nos permiten directamente calcular r1, r2 y theta.
En illustrator, la ventana de una malla de arco le permite elegir entre-100% y 100% de la curva, donde el 100% representa un arco completo de 180 grados. Podemos multiplicar el theta por 100/pi para obtener la curva %. Si lo hizo sus cálculos con grados, se multiplica por 5/9.
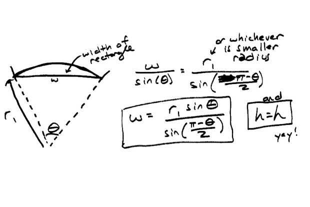
Todavía tenemos que configurar el rectángulo de la ilustración. Aunque su arte no envolver el cristal, necesita su arte a estar dentro de un rectángulo que se envuelva el vaso entero. Entonces, una vez que todo ha sido distorsionado, puede elegir cuánto recortar su máscara. Porque se mide la altura a lo largo del vidrio, altura debe ser la altura de tu rectángulo (que se convierte en distancia entre los dos arcos en Illustrator). La anchura de tu rectángulo debe convertirse en la circunferencia más pequeña cuando arco-ed.
En Illustrator, el arco más pequeño comparte criterios de valoración con el borde del rectángulo (borde inferior de un radio de curvatura positiva, borde superior de un radio de curvatura negativa.
Tenga en cuenta que esta imagen es para un vaso cónico cuya parte superior es más grande que la parte inferior. El * radio * menor debe ser usado para este cálculo (r1 por un vaso ésos radio superior es más pequeño que el radio de la parte inferior). Podemos dibujar cerca imagen de la imagen del arco a entender r1 está relacionada con el ancho del rectángulo de arte. Entonces, gracias a la ley de senos, podemos calcular la anchura.
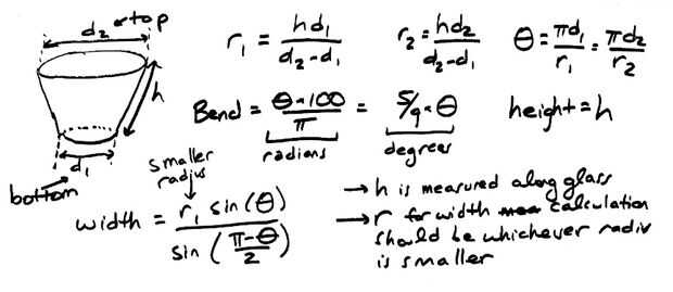
Ahora tenemos todos los parámetros necesarios para Illustrator! Última imagen es un resumen de estos valores.