Paso 1: Configurar los valores de X




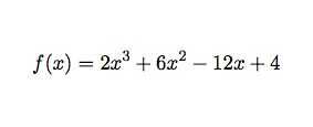
Para demostrar, vamos a utilizar la ecuación y = 2 x3+ 6 x2-12 x + 4. Es la misma ecuación que se muestra en la imagen siguiente, que parece mucho más agradable. Elegimos esta ecuación porque encontrar derivado y primitiva va a ser fáciles, por lo que podemos comprobar nuestra respuesta.
En primer lugar, que desea colocar los valores de x en la hoja de cálculo, hice mío van de -5 a 5. También establecer el tamaño de su paso, puse mina en 0.1. También puede usar 0.01 (sería más exacto) pero generalmente no quieren ir más pequeño. Una vez que las columnas son más que unos mil células largas, toma para siempre de su computadora para procesarlos todos a la vez. Para mi ordenador, por debajo de 1000 células generalmente funciona bien.
Poner el tamaño de su paso en una celda (yo uso A2). Poner su valor inicial en la parte superior de la columna siguiente, le muestra la segunda imagen de abajo lo que esto se debe ver como. Luego en la celda debajo de tipo (B2) en "= B1 + $A$ 2" sin las comillas, presiona enter. Los signos de dólar Dile su programa de hoja de cálculo para referencia independientemente de que la célula copia la ecuación en A2. Coloque el cursor sobre la esquina inferior derecha de la celda, debe ser un cuadrado negro pequeño, haga clic en él y arrástrelo hacia abajo, mientras lo arrastra, verá los números poco a poco cada vez más grande. Es difícil describir, mirar la tercera foto. Arrastra esta caja hasta el otro extremo de la gama X, en este caso 5.