Paso 3: Código de LabVIEW



Tres velocidades diferentes fueron seleccionados en base a los rangos de voltaje de termistor. El ventilador fue con voltajes de termistor superiores a 2.35V. Voltaje de termistor entre 2.35V y 2.15V creó un PWM con una frecuencia de 100 y un ciclo de trabajo de 0.1 (10%). Voltaje de termistor entre 2.15V y 1.95V crearon un PWM con una frecuencia de 100 y un ciclo de trabajo de 0.5 (50%). Voltaje de termistor en 1.95V dio lugar a un suministro constante de 12V al ventilador. Si abre el cuadro de diagrama de bloque, las cajas vacías del lado derecho contienen comentarios que aparecen cuando pasa el ratón sobre ellos.
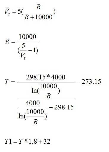
Para las ecuaciones en la foto superior, Vt = voltaje en el termistor, R = resistencia del termistor, T = temperatura del termistor en grados Celsius y T1 = termistor temperatura en Fahrenheit. VT se encuentra utilizando una ecuación de divisor de tensión y R se encuentra por reordenar esta ecuación. Utilizando R, la temperatura puede entonces ser calculada. Nota - en el Celsius cálculo, se calcula la temperatura en Kelvin y luego se resta 273.15 para dar la lectura correcta. Además, el valor 4000 utilizado es el valor de beta el termistor que se encuentran en la hoja de datos. Estas ecuaciones se utilizan en el fórmula bloque en el diagrama de bloques.
Desde aquí, descarga el VI. Una vez descargado, abrir LabVIEW y empezar un proyecto myRIO. Abra el VI descargado y ejecute. ¡ Listo! Sienta libre cambiar valores de rango de tensión o las lecturas de temperatura para controlar la velocidad del ventilador en vez de voltaje. Déjeme saber si usted tiene alguna pregunta o si tiene cambios harían.













