Procedimiento para demostrar que converge una secuencia definida (1 / 11 paso)

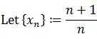
Paso 1: Indicar la secuencia de

Nuestra secuencia se definiría por una función basada en los números naturales en orden para este procedimiento de trabajo. Para este Instructable utilizo la secuencia definida en la imagen de arriba.

Artículos Relacionados

Paso n de arranque-arranque Motor tire ayudar para aquellos que necesitan una pequeña ayuda

Paso n de arranque-arranque Motor tire ayudar para aquellos que necesitan una pequeña ayuda

con orgullo, compré uno de esos generadores de 2kW poco desagradable de Aldi calcular nos recibirían por si perdemos el poder después de una tormenta.  No cuento con lo unico es que yo soy el único uno de la familia que puede arrancar el motor pequeñ
Reloj despertador con Tetris para demostrar que estás despierto

Reloj despertador con Tetris para demostrar que estás despierto

esto es un Arduino powered despertador que después de golpear dos veces la alarma de repetición de alarma no se cancelará hasta que el usuario ha autorizado 4 líneas en el juego Tetris. Físicamente gire el reloj lateral, por lo que la pantalla es ver
Cómo para demostrar que la ebullición de un líquido depende de la presión

Cómo para demostrar que la ebullición de un líquido depende de la presión

Agua hirviendo en temperatura experimento - los mejores videos clips están aquí A una ligera capa de grasa para vacío se aplica en el borde de la belljar. Agua a temperatura ambiente se coloca dentro y la bomba de vacío se utiliza para evacuar el bar
Cómo hacer un helicóptero (para niños) de una taza de café

Cómo hacer un helicóptero (para niños) de una taza de café

esto fue una idea que vino a mí cuando tuve un corte de caja en una mano y una taza de café en el otro, y que literalmente lo hice en 2 minutos. Es una manera rápida y fácil que es buena para el entretenimiento de los niños (y adultos también, a vece
Un Monitor que suena una campana cada vez que una persona apoya una campaña de Crowdfunding

Un Monitor que suena una campana cada vez que una persona apoya una campaña de Crowdfunding

Cuando estábamos siendo crowdfunded, construimos a un monitor de Indiegogo que sonó la campana cada vez que una nueva persona apoyaron nuestra campaña y compra un dispositivo de creación de Kinoma. Queremos compartir este proyecto con ustedes.Crear K
Mi maestro me dijo para ir a volar una cometa, por lo que hice.

Mi maestro me dijo para ir a volar una cometa, por lo que hice.

Con este Instructable mostrará usted cómo construir una cometa del diamante con un poco de matemáticas detrás de él.Estaba encargada de mi maestro para construir una cometa con materiales que tengo puesta en mi casa. Por ejemplo, podría utilizar una
Diseños de pulsera para hacer - como hacer una pulsera de flores con cuentas del grano

Diseños de pulsera para hacer - como hacer una pulsera de flores con cuentas del grano

La mayoría de ustedes amor patrones de pulsera de bolas de flores. Este tutorial trata de hacer una pulsera de cuentas flor con abalorios, perlas y canutillos de semilla. Pasos se explican a continuación.Hemos hecho muchos intentos en combinación cri
Pasos de instalación de servidor para ejecutar PHP medios compartir secuencias de comandos en 2015

Pasos de instalación de servidor para ejecutar PHP medios compartir secuencias de comandos en 2015

¿Gustaría que tener un Youtube como sitio de los medios de comunicación? Hay un puñado de scripts PHP que hacer precisamente eso. Algunos o algunas o libre. Sin embargo estos scripts todos dependen más vieja versión del software y Linux para funciona
Cómo construir un cabezal de trípode para $10 que es panorámico

Cómo construir un cabezal de trípode para $10 que es panorámico

cámaras digitales y software de costura hacen fotos panorámicas mucho más fácil que nunca. Sin embargo, para obtener los mejores resultados, usted necesita un trípode especial. Estos pueden costar cientos de dólares, pero hacer tu propio no es tan di
¿quieres ser una estrella de YouTube?  Bien, tienes que tener una cámara (soporte)!

¿quieres ser una estrella de YouTube? Bien, tienes que tener una cámara (soporte)!

Así que quieres ser una estrella ¿EH?  ¡ EXCELENTE!  ¿Pero tal vez no pueden permitirse una cámara realmente buena?  ¿Tal vez sólo tienes tu teléfono con cámara?  GRAN!!!!!!  ¿Que va a trabajar pero siempre tienes el problema de dónde poner la cosa? 
Cómo guardar/cargar clases java a una secuencia (o archivo) en formato XML

Cómo guardar/cargar clases java a una secuencia (o archivo) en formato XML

Hay un montón de maneras simples para guardar o cargar una clase java a una secuencia o un archivo en formato XML. Por ejemplo:-se pueden usar java.beans.XMLEncoder y java.beans.XMLDecoder si la clase es un JavaBean-puede utilizar métodos de la clase
Cámara trampa: Una trampa que toma una foto de lo que bloquea el láser

Cámara trampa: Una trampa que toma una foto de lo que bloquea el láser

Hemos construido una trampa cámara que toma imágenes de bloques de lo que el láser. Un puntero láser y un fotoresistor se utilizan para detectar bloqueo. Se utilizó una cámara para tomar una foto y enviar los datos hacia el Kinoma crear a través de U
Plantilla que en una de corte de vinilo en Techshop SF

Plantilla que en una de corte de vinilo en Techshop SF

en este instructable comparto mis consejos y trucos para hacer una plantilla o un cartel con los siguientes materiales:tubo de cartón de blick 15' (30" de ancho) para ~$2.00cortador del vinilo en Techshop SFcuchillo de corte de la plantillareglalápiz
Cómo hacer artificial pesca cebo para poco que no $

Cómo hacer artificial pesca cebo para poco que no $

le mostrará cómo reciclar unos artículos para el hogar común y convertirlos en nuevos Señuelos de pesca llamativo.Estaba pensando el otro día sobre cuánto cuesta para comprar Señuelos de pesca, siempre pierden o rompen. También pensé que sería genial