Plantador de riego de gravedad pasivo (13 / 16 paso)

Paso 13: Emisores de PVC (2)

Con los emisores de perforado, ahora puede crear una prueba simple para determinar si están alcanzando una tasa de goteo uniforme. Cortar dos tramos de tubería de polietileno de 0.5" de diámetro y coloque cada uno de los adaptadores de Nylon adquirió. Los adaptadores de Nylon también deben atornillarse en los hilos de las esquinas de PVC de 90 grados. Conecte el extremo opuesto de uno de los tubos al cubo que creó anteriormente y suspender un poco arriba del tubo de PVC. Asegúrese de que los emisores están hacia abajo y luego se puede suspender la tubería de PVC sobre un número de tazas, cada una orientada por debajo de uno de los emisores, como se muestra en la figura anterior. Si sólo te preocupas por la uniformidad, poner un poco de agua en el balde, luego dejarlo hasta que acabe (Nota: Asegúrese de que usted vea agua en el tubo de lejos que es expuesta al aire, se necesita levantar el balde por un momento purgar el aire del sistema). Después de cierto tiempo, después puede quitar el sistema y medir el volumen de las tazas.

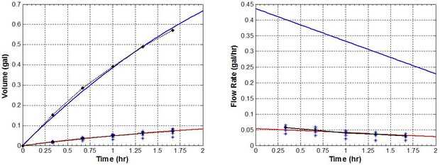
El experimento anterior se llevó a cabo con este sistema, con el volumen de agua medido cada 20 minutos. Los resultados se muestran por encima y apoyan la ecuación de Bernoulli con fricción despreciable. En la segunda figura, las líneas rojas representan cada emisor individual y las líneas azules representan el sistema de competición. La última figura muestra la distribución del volumen de agua medido de cada emisor. Mientras que el emisor 2 es inusualmente baja (tal vez debido a una obstrucción parcial), los otros emisores parecen ser algo uniforme. Si no estás satisfecho con la prueba de uniformidad, puede intentar destapar cualquier obstrucción potencialmente emisores mediante lavado de agua a través del tubo de PVC y trató de forzar el aire a través de los emisores con la boca (puede parecer extraño, pero funciona). Si usted prueba una vez más y la uniformidad no ha cambiado, se pueden taladrar potencialmente emisores adicionales.

Artículos Relacionados

Planeta aqua casero (sistema de riego de gravedad para las plantas)

Planeta aqua casero (sistema de riego de gravedad para las plantas)

con esta invención poco rápida usted no tendrá que preocuparse sobre el riego de sus plantas tanto! Sólo llene con agua y meter en la maceta de la planta!similares a las que ves en la tv:http://www.asseenontvguys.com/productimages/as_seen_on_tv_guys/
(Sobre todo) Uno mismo plantador de riego

(Sobre todo) Uno mismo plantador de riego

jardinería puede ser muy gratificante o devastadoramente desalentadora. Me he siempre dicho que tengo un "pulgar verde" por amigos que son crónicamente fracasados. Este proyecto fue diseñado para ese amigo.El principal concepto es una jardinera
Barril de lluvia jardín riego de gravedad

Barril de lluvia jardín riego de gravedad

unos años instalé un sistema de distribución de barril y agua de lluvia en el patio de mi casa y funcionaba tan bien que decidí construir en esa idea e instalar uno en la parte frontal/lateral de la casa. El primer paso es decidir dónde vas a colocar
Jardín de cañón de riego gravedad

Jardín de cañón de riego gravedad

Barriles pueden utilizarse para tan de largo antes de que sean aptas para la elaboración del vino, así cada Bodegas año deshacerse de sus barricas viejas y hacen espacio para lo nuevo. En país del vino esta abundancia de barriles solicita personas pa
Inicio de riego por goteo de gravedad DIY para hierbas y plantas

Inicio de riego por goteo de gravedad DIY para hierbas y plantas

Establecer una precisión barata por goteo sistema de riego por gravedad para interior / hogar lugar ~-Bajo mantenimiento Autorriego para vacaciones-Entrega personalizada precisa de agua a las plantas-Vehículo para la entrega de fertilizante precisa,
Jardinera autorriego DIY

Jardinera autorriego DIY

¿Siempre se siente como no sabes cuánto regar tus plantas necesitan? La buena noticia es que tus plantas! Así que vamos a crear este plantador de riego y que la madre naturaleza guía sus plantas para su propio crecimiento!Lo que se necesita:1. una ma
Agua recicladora (agua gris)

Agua recicladora (agua gris)

la zona que vivo en ha sido en una sequía de un año o más. Como tal tenemos restricciones de agua en lavar el coche, regar el jardín, etc.. Inicialmente configurar una manguera de drenaje de la salida de la lavadora para contenedores fuera para recog
Sifón de goteo riego configuración usando KVG y botellas de refresco antiguas de gravedad

Sifón de goteo riego configuración usando KVG y botellas de refresco antiguas de gravedad

se me ocurrió con este sistema para algunas plantas en de agua de riegolos lugares de manera...  Ayuda si usted sabe cómo funciona un sifón...Lo número uno es que el depósito está por encima de su posición de salida...Construí este en El TechShop en
Hacer un plantador del jardín el riego

Hacer un plantador del jardín el riego

Este plantador del jardín hace crecer sus propias frutas y verduras increíblemente simple. Con pocos elementos de su ferretería local, puede Agregar un toque de verde en su paisaje en ningún momento!Herramientas necesarias:Taladro eléctricoTaladro de
Plantador de la fresa de fácil riego

Plantador de la fresa de fácil riego

inglés nos encanta nuestras fresas y crema...Fresas son increíblemente fáciles de cultivar y son técnicamente no bayas.El verano está llegando y ahora es el momento de plantarlas! (¡ Ahora sí!)Fresales plantadores son grandes por varias razones - fru
Cubo de Fed yo riego la tierra casera de gravedad

Cubo de Fed yo riego la tierra casera de gravedad

Esta es una idea que vi de otro usuario. Utilizaban un mecanismo de válvula de flotador de plomería para que sea función.Cuando empecé a diseñar, me preguntaba si su puede ser una manera más fácil para facilitar el riego automático en lugar de tener
Auto riego menos plantador - de agua tanque de agua subterráneo

Auto riego menos plantador - de agua tanque de agua subterráneo

Como agua menos tu jardinera.Paso 1: artículosElementos para el depósito de agua subterráneamaceta 1 jardinera1/2 taza de Gel de agua / cuentascap 1 heladoPaso 2: La tapaPonga la tapa invertida dentro de la ollaPaso 3: Las cuentasTransferencia de las
Cómo hacer un auto riego plantador

Cómo hacer un auto riego plantador

Hola! Me gustaría que le muestre cómo hacer un mismo riego de jardinera o (sub recipiente de riego), con materiales reciclados. Algo como esto es ideal para comenzar un jardín de hierbas interior pequeña, sin embargo eso no significa que está limitad
Filtro de arena de sistema riego pasivo de chatarra!

Filtro de arena de sistema riego pasivo de chatarra!

Mi bien fue conectar los aspersores que se utilizo para el riego con partículas de arena que pasa a través de la cabeza del pozo. Cansado de limpiar las pantallas de la regadera que decidí abordar la cuestión en su origen y atrapar la arena sale de l