Paso 2: Dibujar la elipse



Después de reunir los materiales adecuados, el primer paso lógico sería dibujar la elipse. Después de ver el video de mesas de billar elípticos, I se convirtió en curiosidad y uno me quería. Sin embargo, mesas de billar elípticos son hechos a mano, y la mayoría son de 4-dígitos en cuanto a precio. Así que por desgracia, mi trabajo de nivel secundaria sería no estar ayudando a pagar por ello. El siguiente paso lógico (al menos para mí) era construir uno. Obviamente. Mis clases de trigonometría ayudaron mucho acerca de cómo hacerlo. No dude en refrescar sus conocimientos sobre elipses en http://www.purplemath.com/modules/ellipse.htm
En mi situación, nuestra escuela tenía algunos aglomerado extra que probablemente nunca van a utilizar, así que decidí usarlo para mi proyecto. Sin embargo, eran bastante pequeños pedazos así que tuve que combinar dos de ellos juntos. Si usted tiene una pieza bastante grande, llevar a cabo.
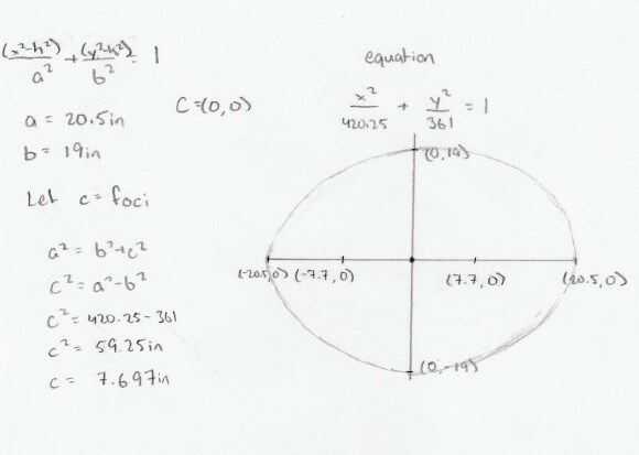
En primer lugar, encontrar las dimensiones de la madera. Mi pedazo de madera (combinado) fue exactamente 38" por 40". Con 40" es el lado más largo, 20,5" sería la longitud del eje mayor, y 19" sería el eje menor. Siguiente, encontrar el centro de la pieza de madera. Marca. Entonces, siguiendo el procedimiento estándar y utilizando las fórmulas correctas y ecuaciones (como se muestra en la imagen), encontrar la distancia del centro a los focos. Marque los dos puntos también.
Después de encontrar los focos, martillo en un clavo en cada uno de ellos. Cortar y atar un lazo de cuerda aproximadamente dos veces la longitud del eje mayor. Cubra el círculo de la cadena y tire firmemente contra los focos de dos clavos (como se muestra arriba en la segunda imagen) con un lápiz. Al mover el lápiz de un lado a otro, te darás cuenta se curva la trayectoria de los puntos, por falta de mejores palabras. Si seguir adelante contraria hacia la derecha o hacia la derecha, usted será capaz de dibujar una elipse. Seguir dibujando la elipse hasta que estés satisfecho con la forma. Todo ello debido a las propiedades de la elipse y sus focos. A diferencia de un círculo que es equidistante del centro en todos los puntos de la circunferencia, los radios de elipses fluctuarán basado en su posición.