Índice de refracción de Gatorade (4 / 6 paso)

Paso 4: Cálculo de índice de refracción

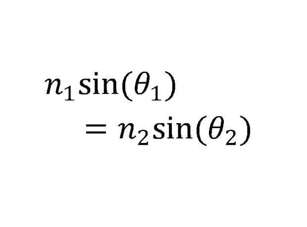
Ley de Snell utilizando, podemos determinar los índices de refracción de la Gatorade y el agua. N1 es el desconocido y representa el índice de refracción del medio deseado. Θ1 es el ángulo inicial donde la luz no ha pasado todavía por el medio. N2 es el índice de refracción del aire, que es igual a 1. Θ2 es el ángulo de refracción. Para el Gatorade y el agua, resolver la ecuación para el n1 para cada medición y luego tomar el promedio de los índices de refracción para llegar a un valor final. Además, asegúrese de que su calculadora está en grados!

Ejemplo:
Ángulo inicial = 20, Refracted ángulo = 30
N1*sin(θ1) = n2*sin(θ2)
N1*sin(20) = 1*sin(30)
N1 * 0.343 = 1 * 0.5
N1 = 1.458

Artículos Relacionados

Encontrar el índice de refracción del gel para el cabello

Encontrar el índice de refracción del gel para el cabello

en este experimento, esperamos aplicar nuestros conocimientos con la esperanza de encontrar con éxito el índice de refracción del y la velocidad de la luz en gel para el cabello.Para este experimento necesitaremos:Gel para el cabello (translúcido o t
Experimento de refracción de gelatina

Experimento de refracción de gelatina

este experimento muestra una forma de encontrar el índice de refracción de gelatina. Gelatina es un placer delicioso común disfrutado por muchos niños. También es un material translúcido que lo hace un candidato perfecto para un experimento de índice
Refracción de la luz con el láser

Refracción de la luz con el láser

láser mejorar casi nada, y que incluye refracción de luz en las lecciones de física.  Aquí está una guía para la refracción de luz láser, y algunos cálculos puede que tenga que hacer después.Paso 1: un poco de teoría Como un haz de luz entra en un óp
Cambio de refracción debido al Color a través de gelatina

Cambio de refracción debido al Color a través de gelatina

A láser o amplificación de luz por emisión estimulada de radiación, tiene un alto grado de coherencia espacial. Un alto grado de coherencia espacial significa que la luz que se emite el láser es muy concentrada haciendo la distancia visible que luz v
Encontrar la refracción de un Gummy Bear

Encontrar la refracción de un Gummy Bear

un experimento de clase óptica muestra la dificultad de encontrar la refracción de un osito de goma.Para realizar este experimento, necesitarás:-Un banco de óptica-Una mesa de rayos y la base-Una fuente de luz (hemos utilizado un láser)-Gummy BearsEl
Construcción y diseño de accesorio de luz LED

Construcción y diseño de accesorio de luz LED

Luces con índice de representación de alto color (CRI) eran necesarias para un entorno de estudio de arte. Se consideraron varias opciones de iluminación incluyendo: incandescentes y halógenos, bombillas de repuesto del diodo electroluminoso (LED), c
Bastidor vidrio

Bastidor vidrio

este fue un proyecto que hice en un grupo para mi clase de ciencia de materiales. Desde que tuve acceso a un laboratorio completo de equipos para pruebas de materiales, te doy algunos datos extra científicos. Pero si le sucede que tiene acceso al equ
Imagen de relieve en Color

Imagen de relieve en Color

¡ Bienvenido al Instructable siguiente en mi colección de alivio de la imagen, en la que le doy profundidad imágenes 2D asignando a cada píxel una altura igual a su brillo. Esta vez, el alivio fue montado a partir de una serie de full color cortes tr
Instrumentos musicales bajo el agua: sonido de agua

Instrumentos musicales bajo el agua: sonido de agua

Vamos a construir un instrumento musical que hace sonido de vibraciones en el líquido.Por primera vez en la historia humana, daremos agua una «voz».Recuerdo de mi infancia, nos dijo nuestro profesor de Kinder:"Hay 3 clases de instrumentos:cadenas;per
3D lentes Freeform impresión y raro CNCing

3D lentes Freeform impresión y raro CNCing

El mundo de la óptica y la fabricación de lentes tradicionalmente ha sido clausurado para no expertos. No tiene que ser así. Uso de herramientas de prototipado rápido como impresoras 3D y Fresadoras CNC, una lente es más fácil de lo que imaginas.Pued
Hacer un anillo de compromiso Diamante piedra tres.

Hacer un anillo de compromiso Diamante piedra tres.

Así, he conocido a la chica de tus sueños, y ahora quieren darle un hermoso anillo como un símbolo duradero de su amor.Problema es que no pueden permitirse un lujo anillo del diseñador, y las que puede pagar son masa producida, tachonado con diamante
Impresión Quasicrystal formas 3D

Impresión Quasicrystal formas 3D

He estado interesado en "cuasicristales", que son patrones que se orden a largo plazo, pero no necesariamente repetición. Resulta que son bastante fáciles de generar usando simples de matemáticas. (Nota "cristal" es utilizado aquí en e
Hacer tu propio visor 3D (un cristal prisma), para ver imágenes de cruzar ojo lado por SIDE(CES), estereogramas y videos en 3D

Hacer tu propio visor 3D (un cristal prisma), para ver imágenes de cruzar ojo lado por SIDE(CES), estereogramas y videos en 3D

A hacerlo usted mismo vidrio prisma, lleno de agua o glicerina aceite, para ver 3D Lado por lado (CES) de las fotos, es decir, (CES) estereogramas y (CES)Videosclearly y fácilmente, sin tener que aprender el método de ojo cruzado.Este proyecto muestr
Hackear una linterna de LED de 4 $ en una luz de buceo con un laxante!

Hackear una linterna de LED de 4 $ en una luz de buceo con un laxante!

Honestamente pensé que esto no funcionaría porque es demasiado simple y fácil para mí ser la primera persona que piensa de él. (o al menos la primera persona para publicar)  Una luz de buceo normal ejecuta sobre $100-$150, alquilar uno generalmente v