Paso 4:


En el proyecto utilizamos transductor piezoeléctrico de cerámica. Transductor piezoeléctrico genera voltaje cuando aplicamos presión en el transductor piezoeléctrico. Voltaje de CA no puede resumir unos a otros, tenemos que convertir voltaje de CA a voltaje de DC. Estamos conversión AC a DC porque voltaje de CA no puede resumir pero puede resumir tensión DC en serie. Pero en el proceso de conversión de AC a DC podemos perdemos algo de energía. Si usamos puente de onda completa reflexión para convertir AC en DC. Tenemos aprox. 80% de la energía generada por el transductor. (Aquí obtenemos casi el 20% de pérdida de energía). Si nos conectamos cada transductor piezoeléctrico con cada puente rectificador de onda completa y conectarlos en serie podemos perdemos gran cantidad de energía que libera de transductor, entonces no podemos obtener salida apreciable.
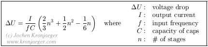
Una larga investigación sobre este concepto, encontramos una solución, que es la cascada de Villard, que también se llama como multiplicador de voltaje.
Aquí aplicando presión en el transductor piezoeléctrico que genera la salida de la CA. Que salida de CA está conectado a la cascada de Villard (multiplicador de voltaje). Conectando el multiplicador de voltaje la salida será en DC con algún impulso de voltaje. Utilizando el multiplicador de voltaje redujimos rectificador puente y la tensión de refuerzo.