Ember liberar más energía (o cómo controlar el proyector LED y Wintech via USB) (7 / 7 paso)

Paso 7: Apéndice: Cómo cambia la intensidad de la luz (y cómo encaja los valores de escala de grises)

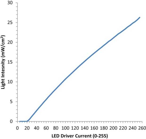
La relación entre el LED de corriente y la intensidad de la luz es aproximadamente de 2 º orden. Las otras dos parcelas son de una máquina alfa modelo y mostrar la variación de orden 4 con imagen valores de escala de grises. Esto es una consecuencia de la DLP está diseñado con visión humana presente.

Artículos Relacionados

LedUSB: Conversión de energía Solar en energía eléctrica con el uso de LEDs

LedUSB: Conversión de energía Solar en energía eléctrica con el uso de LEDs

Sí has leído bien.Hoy vamos a hacer una matriz de LED que genera la energía suficiente para cargar sus teléfonos y tabletas. Es un dispositivo portátil que puede cargar un dispositivo. Tuvimos la principal preocupación que sea portátil, ligero y bara
BRICOLAJE madera banco de energía de emergencia por TP4056 del Li-ion de carga y USB DC tensión impulso elevador módulo

BRICOLAJE madera banco de energía de emergencia por TP4056 del Li-ion de carga y USB DC tensión impulso elevador módulo

BRICOLAJE madera energía de emergencia del Banco por carga de iones de litio de TP4056 y DC voltaje elevador Boost módulo USB muy barato unos 10 USD por 3 modude (+ módulo baterías), caja de madera DIY laptop 2 pilas 18650 y más herramientas de base,
Registrador de datos de energía solar

Registrador de datos de energía solar

¿Siempre quiso saber cuánta energía solar podría generar al poner células fotovoltaicas en un lugar específico en o alrededor de tu casa?Este Instructable muestra cómo construir un registrador de datos basado en un Arduino (o Genuino) Uno con data-lo
Rotación de Ember autoguiado hacia el blanco y de sensores de calibración

Rotación de Ember autoguiado hacia el blanco y de sensores de calibración

Cuando usted primero consigue su ascua podría tener problemas con uno de estos sensores. Errores durante el calibrado en la fábrica pueden causar problemas siempre detecte un atasco a lentamente a la deriva hasta que la parte no es sobre el área de c
Luces subacuáticas del LED de energía

Luces subacuáticas del LED de energía

este breve instructivo le proporcionará la información y la inspiración necesaria para iluminar el lago. Se trata de un simple proyecto de LED que estoy esperando para extender al uso PWM que amortigua con luces RGB para que cualquier color deseado.P
Tutorial de ensamblador AVR 4

Tutorial de ensamblador AVR 4

Bienvenido a tutorial número 4!En este tutorial vamos construir un circuito que simulará el balanceo de dos dados. Entonces vamos primero a escribir un programa de fuerza bruta que hace el trabajo. A continuación simplificamos ese programa de varias
Completa guía para principiantes de tecnología

Completa guía para principiantes de tecnología

Cada partida se oye pero si tienes la motivación y la determinación fuerte usted tendrá éxito. La mayoría de los estudiantes sobre todo de los estudiantes de ingeniería quiere construir y hacer algo. Experiencia práctica de hacer algo hace que nuestr
Cómo hacer arco iris adecuada y colores aleatorios con el modelo de Color RGB

Cómo hacer arco iris adecuada y colores aleatorios con el modelo de Color RGB

Parece que cosas tan simples como un efecto de arco iris o suavemente cambiar colores al azar en un LED RGB son bastante triviales. Sin embargo, una y otra vez vengo sobre proyectos con enfoques extraños a esta materia. La extrañeza más común es el u
Curiosamente fuerte y Wireless Usb Mouse

Curiosamente fuerte y Wireless Usb Mouse

bien no ha sido demasiado tiempo desde que hice mi ratón por cable de Altoids. Sólo recogió un ratón de logitech LX7 para nada y decidió que no necesito otro ratón regular.Paso 1: materiales que he hecho todo en un entorno de oficina. (sí se trata de
Sugarcube MIDI Controller

Sugarcube MIDI Controller

Este proyecto es un controlador MIDI portátil, accionado Arduino basada en red que arranca para arriba en una variedad de aplicaciones para hacer muchas cosas con el sonido. Cuenta con 16 botones retroiluminados, utilizados como entradas y salidas pa
Construir un brazo robótico para la Olimpíada de Ciencias

Construir un brazo robótico para la Olimpíada de Ciencias

para aquellos que se esfuerzan por encontrarán las piezas correctas, intentando averiguar cómo ponerlos juntos, o tener dificultad con el código, este es el lugar adecuado! Este instructable es una documentación completa de la entrada de brazo robóti
8 de CHR X 8 X 8 LED cubo revisitado con mejoras!

8 de CHR X 8 X 8 LED cubo revisitado con mejoras!

Ver paso 17 para obtener más información sobre el modo de entrada de música para los tableros no rampa.Ahora hay 7 modos de la música en el código Posteado, y estoy buscando más ideas para animaciones o efectos de música activada!SALTAR directamente
Anguila eléctrica: Suave, estimulante juguete

Anguila eléctrica: Suave, estimulante juguete

ActualizaciónDespués de fondo de investigación y pruebas electro-táctil pantallas y E-Stim, las claves para conseguir buenos resultados seguros son:1) alto voltaje - bajo amperaje (mantener por debajo de 1 mA), ajuste de voltajes de 3 a 24 voltios (l
Cómo entrar en la matriz de la Ghetto (DIY Bullet Time)

Cómo entrar en la matriz de la Ghetto (DIY Bullet Time)

lo que sigue es un tutorial sobre cómo construir su propia bala barato, portable y el estilo de capota tiempo plataforma de cámara en la barata y la mosca. Esta plataforma fue diseñada por el Graffiti Research Lab y director Dan al hombre para utiliz