Paso 10: Las ecuaciones.

La introducción del condensador en el circuito reduce la corriente total consumida por el motor y el condensador, puede verse que VA2 vector es más pequeño que VA1. La diferencia entre VAR1 y VAR2 es debido a la energía del condensador que es 180 grados opuesto a VAR1, aquí se muestra como tapa = VAR1, VAR2.
De aquí podemos derivar las siguientes ecuaciones:
VA1² = Watts² + VAR1² (3)
VA2² = Watts² + VAR2² (4)
Cap = VAR1 – VAR2 (5)
(5), determinamos VAR1
Var1 = VAR2 Cap
Sustitución de VAR1 en (3) obtenemos:
VA1² = Watts² + (tapa + VAR2) ²
Watts² = VA1² - (Cap + VAR2)² (6)
De (4) tenemos:
Watts² = VA2² - VAR2²
Comparación con (6)
VA2² - VAR2² = VA1² - (Cap + VAR2)² (7)
VA2² - VAR2² = VA1² - Cap² - 2CapVAR2-VAR2²
Como VA1 = (V)(A1), VA2=(V)(A2), VAR2 = (V)(AR2) y tapa = (V)(Acap), entonces se tiene:
(V²) (A2²) – (V²)(AR2²) = (V²)(A1²) – (V²)(Acap²) – 2(V²)(Acap)(AR2) – (V²)(AR2²)
Que se reduciría a:
A2² = A1² - Acap² - 2(Acap)(AR2)
2(ACAP)(AR2) = A1² - A2² - Acap²
A1² - A2² - Acap²
AR2 = ---------------------------- (8)
2(ACAP)
Sustituyendo en (4)
A1² - A2² - Acap²
(V²) (A2²) = Watts² + (V²)(----------------------------)²
2Acap
A1² - A2² - Acap²
Watts² = (V²)(A2²) + (V²)(----------------------------)²
2Acap
A1² - A2² - Acap²
W = SQRT ((V²)(A2²) + (V²) (-) ²)
2Acap
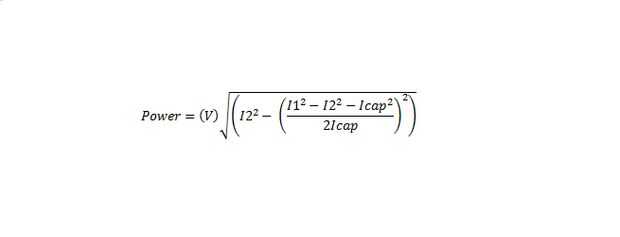
Sustituyendo I1 = A1, I2 = A2 e Icap = Acap, obtenemos la fórmula:
I1² - I2² - Icap²
W = SQRT (V) (I2² + (-) ²)
2Icap
Que resulta para ser la fórmula que hemos utilizado anteriormente para calcular la potencia.
Este método es útil cuando usted necesita tomar las lecturas de energía en motores eléctricos y no medidor de potencia está disponible, que es la razón por la que fue llamado el vatímetro mexicano. Como se dice en el norte, "la precisión no es lo suficientemente cerca como para el trabajo del gobierno", siempre armónicos significativos presentes.
Nota: Este método para medir la energía sólo funciona con cargas lineales tales como los motores, no se puede utilizar con cargas electrónicas tales como computadoras. Para medir potencia en cargas electrónicas no tiene ninguna opción pero para usar un medidor de potencia real.