Paso 2: Contando en binario (parte 1/2)

Números binarios son diferentes de los números decimales porque utilizan una base 2 sistema de numeración. Esto significa que sólo 2 números se utilizan para representar cualquier valor en binario. Números en binario están representados solamente por un 1 o 0. En decimal, se utiliza un sistema de base 10 por lo que hay 10 números usados para representar cualquier valor; empezar en 0 entonces 1, 2, 3, 4, 5, 6, 7, 8, 9 pero después de 9 corremos de dígitos para representar el número así que tuvimos un 1 a la izquierda. (10, 11, 12, 13, 14...).
En binario, se empieza en 0 y 1, pero luego nos quede sin números. Esto significa que para representar cualquier número mayor entonces esto, tendremos que añadir más dígitos a la izquierda. Por ejemplo:
0000: 0
0001: 1
0010: 2
0011: 3
0100:4
Puesto que números binarios utilizan base 2, para encontrar el valor de cada dígito, tomar ese dígito multiplicado por 2 a la potencia en la posición actual de ese dígito. Para entender más esto, veamos un ejemplo de número binario.
En este paso a dar un tutorial exhaustivo de cada paso en el ejemplo siguiente se ha añadido la ayuda visual. La ayuda visual y el ejemplo siguiente utilizan el mismo proceso.
Ejemplo
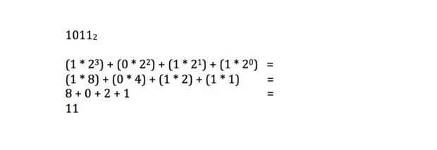
1011 (base 2)
El anterior número es un número binario. Para obtener el valor vamos a iniciar en la posición 0 entonces mover a la izquierda hasta que esté fuera de los números.
1011: el dígito en la posición 0 se muestra en negrita. Para encontrar el valor, se toma el dígito (1) múltiples de la base del sistema de numeración (Base 2), a la energía del dígito en esa posición. Esto se ve como: 1 * 2 ^ 0 = 1.
1011: aquí, el dígito 1 está en la posición 1. El valor de este dígito se ve como: 1 * 2 ^ 1 = 2.
1011: aquí, el dígito 0 está en la posición 2. Se parece al valor de este dígito: 0 * 2 ^ 2 = 0.
1011: aquí, el dígito 1 está en la posición 3. El valor de este dígito se ve como: 1 * 2 ^ 3 = 8.
Para obtener el valor final de este número, utiliza el mismo método que usaste en el paso 1 para encontrar el valor de números decimales. Simplemente añadir el valor resultante de cada expresión para igualar nuestro número.
Esto se ve como 1 + 2 + 0 + 8, que equivale a 11. Así, el número binario 1011 representa el número decimal 11.