


. Aquí voy a mostrar cómo construir tus propio decenas de la máquina y reducir la cantidad de pastillas que usas para detener el dolor. Para construir decenas de esta unidad, primero deberá comprar un IC 555 temporizador. El temporizador 555 es muy pequeña alrededor de un cuarto del tamaño de su uña. Puedes comprar uno de unos 25p de Maplins o Radio Shack, etc..
Hay 2 tipos de decenas máquina. Tens de alta frecuencia utiliza frecuencias en el rango de 80 a 100 Hz. Esto bloquea los impulsos de dolor que va al cerebro.
Tens de baja frecuencia utiliza frecuencias de 2 a 4 Hz. Esto ayudará al cuerpo a producir sus propias endorfinas y aumentar el flujo de sangre local para aliviar el dolor (esto puede durar horas).
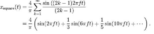
Ondas cuadradas se encuentran universalmente en los circuitos de conmutación digitales y naturalmente son generadas por dispositivos de lógica binaria (dos niveles). Que se utilizan como referencias de la sincronización o "señales del reloj", porque sus transiciones rápidas son convenientes para accionar síncronos circuitos lógicos en precisamente determinados intervalos. Sin embargo, como se muestra en el gráfico del dominio de la frecuencia, ondas cuadradas contienen una amplia gama de armónicos.