Paso 3: Calcular las características internas basadas en las corrientes de entrada



Ahora que has calculado las corrientes internas pueden calcular los valores de pequeña señal de lo BJT.
Estos son los siguientes:
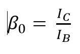
Β0: aumento actual
Este valor representa la relación entre la corriente en el colector y la corriente en la base. El valor particular es específico de cada transistor y puede también variar con la temperatura.
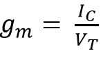
GM: transconductancia
Este valor representa la relación entre la corriente por el transistor y el voltaje en él. V es voltaje termal, que es una constante igual a 26 milivoltios en la temperatura ambiente.
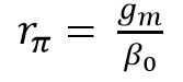
rπ: resistencia interna
Este valor es la resistencia entre los terminales de base y emisor del transistor. Como ganancia de corriente, es único para cada transistor.