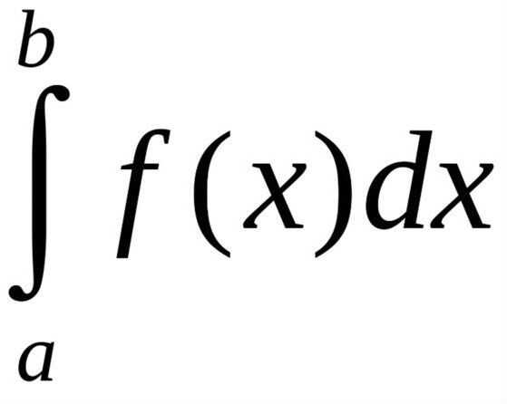
Cómo encontrar el área en un intervalo utilizando integrales. (2 / 6 paso)

Paso 2: Conocer la forma estándar para integrales.

La forma estándar para integrales está en el cuadro proporcionado.

Artículos Relacionados

Cómo encontrar el área de un triángulo

Cómo encontrar el área de un triángulo

En este instructable llevará en mi serie de "Cómo encontrar la zona"Hoy mostrará usted cómo encontrar el área de un triángulo. Para mí, encontrar que el área de un triángulo es el más divertido, así que espero que te diviertes aprendiendo esto.P
Cómo encontrar el área de un círculo

Cómo encontrar el área de un círculo

Este instructable le mostrará cómo encontrar el área de un círculo.Paso 1: ¿Cómo encontrar el área de un círculo?Encontrar el área de un círculo puede ser difícil para algunas personas, así que en este instructable le mostraré cómo.Paso 2: Paso 1.La
Cómo encontrar el máximo beneficio para una empresa perfectamente competitiva

Cómo encontrar el máximo beneficio para una empresa perfectamente competitiva

público objetivo:Esto está dirigido hacia los que ha tomado o está tomando actualmente Microeconomía Intermedia.Necesitan entender cómo trazar el producto Total de la curva de trabajo, curva de promedio producto de mano de obra y el producto Marginal
Encontrar el norte usando sombras

Encontrar el norte usando sombras

Así que hay que encontrar al norte, pero no tienes un GPS, una brújula o un reloj (o alguna manera de decir la hora)Se necesita:1 palo2 piedras1 planeta giratorioPaso 1: Colocar el palo En primer lugar, encontrar un área tan plana y nivel como sea po
Encontrar el volumen de un objeto usando integración

Encontrar el volumen de un objeto usando integración

Supongamos que desea encontrar el volumen de un objeto. Para muchos objetos es un proceso muy intuitivo; el volumen de un cubo es igual a la longitud multiplicada por el ancho multiplicado por la altura. Para un cilindro el volumen es igual al área d
Área de una esfera de superficie

Área de una esfera de superficie

Wahoo! Fórmulas algebraicas divertidos... Lo sé... Soy un nerd. Bueno, es la expresión emocionante para este... (tambor-rollo por favor)... 4 (pi) r 2.Suena bastante fácil... Y no te preocupes... Si no sabes lo que esto significa se iban a pasar por
Consejos sobre cómo encontrar errores en el código (centrado en DOS)

Consejos sobre cómo encontrar errores en el código (centrado en DOS)

--EDIT--Añadido una manera fácil de obtener el mensaje de error en el paso 1.Hola compañeros programadores o miembros curiosos, este es mi guía sobre cómo detectar y corregir los errores de código grande y complejo.Esto no es exactamente un instructa
Cómo encontrar la circunferencia de un círculo

Cómo encontrar la circunferencia de un círculo

Si usted necesita encontrar la circunferencia de un círculo, usted ha venido al lugar correcto!Si usted necesita encontrar el área de un círculo, lea este postPaso 1: Paso 1.Para encontrar la circunferencia de un círculo, primero debe saber la fórmul
Área de un cilindro

Área de un cilindro

en este Instructable usted aprenderá cómo encontrar el área de un cilindro.Fuentes:Lápiz (necesario para su borrado-capacidad)PapelCalculadoraOpcional:PuedeAbrelatas de poderTijeras para chapaADVERTENCIA:Corte abierto una lata hojas Muy afiladas. Me
Cómo hacer un buscador de área del círculo con el símbolo del sistema

Cómo hacer un buscador de área del círculo con el símbolo del sistema

Hola chicos, en este instructable le daré los códigos para que puedas escribir en un radio y encontrar el área del círculo pertenece también! Enormes gracias a mi amigo que esta hecho desde cero! no dude en cambiarlo todo pero por favor no volver a p
Cómo incorporar la música

Cómo incorporar la música

Cómo transportar música* * Nota algunos intervalos va a cambiar dependiendo de su tonalidad **Elizabeth VoightsSuministros-Partituras-Lápiz-Paciencia-Partitura de personal en blanco¿Qué es la transposición de música?Transposición de la música es toma
Error del mecánico optimista bolsa

Error del mecánico optimista bolsa

Cualquier esperanza para el futuro de la humanidad en un mundo apocalíptico en el post, requerirá de los seres humanos a trabajar en equipo, cooperación. Nadie será capaz de sobrevivir completamente solo. No me malinterpreten aquí, estoy seguro de qu
Manual derivados e integrales

Manual derivados e integrales

Este procedimiento le guiará a través de algunas de las técnicas de base de cálculo: derivados e integrales. Estas son esenciales para casi cualquier clase de carrera de matemáticas o ciencias. Necesitarás una buena conexión a tierra en álgebra para
Video de lapso de tiempo fácil y barato (Intervalometry)

Video de lapso de tiempo fácil y barato (Intervalometry)

Lapso de tiempo, también conocido como intervalometry (como en la medición de intervalos entre fotografías), es un método de tomar fotografías lentamente con el tiempo y luego compilarlos en un vídeo de tiempo comprimido.  Siempre he estado fascinado