Paso 6: Crear un diagrama de caja


Diagramas de caja también son conocidos como diagramas de caja y bigotes.
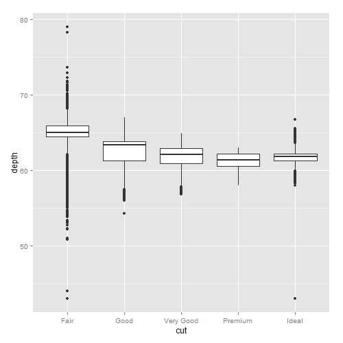
1. crear un diagrama de caja de la profundidad de corte.
qplot(cut, depth, data=diamonds, geom="boxplot")
2. crear un diagrama de caja de la profundidad de corte y añadir puntos de jitter.
 qplot(cut, depth, data=diamonds, geom=c("jitter", "boxplot") Nota: El orden en el que especificar el geoms es importante porque la primera de ellas se colocará el segundo. Se puede experimentar para determinar cual arreglo es mejor para sus datos, aunque no ven muy bien de cualquier manera en este caso. Un mejor ejemplo de cómo incluyendo ambos estos geoms puede producir una buena visualización de los datos se puede encontrar cerca de la parte inferior de esta página (así como más información sobre variación).












