Paso 3: Suma momentos sobre el punto D

La siguiente ecuación implica un concepto llamado "momentos". Un momento es una medida de una tendencia de los objetos a rotar en base a una fuerza perpendicular aplicado a cierta distancia de un eje. El momento es igual a la fuerza multiplicada por la distancia perpendicular entre ella y el eje de rotación. Cualquier fuerza que pasa directamente por el eje tendrá un momento igual a cero porque la "distancia" del eje es cero. Lo práctico de esta ecuación de momentos es que puedes elegir donde se define el eje. Esta decisión es importante, como generalmente estratégicamente puede eliminar algunas variables para dejar sólo una incógnita a resolver.
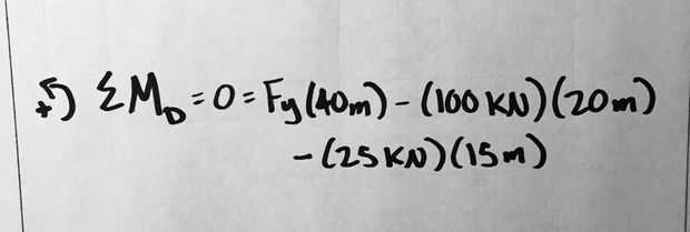
En este caso, usted quiere elegir su eje como punto D. Esto eliminará las fuerzas Dx y Dy ya que van directamente a través del punto D. Entonces usted sólo quedará preocuparse por año fiscal, que es desconocido, y las fuerzas de a C y E, que usted sabe.
Definir un momento positivo como algo que se tiende a causar rotación en sentido contrario sobre el punto D. Este sentido de giro puede ser a veces un poco difícil de visualizar. Imagina manteniendo pulsado el punto D y aplicando una fuerza en otras partes de la estructura. Pregúntate a ti mismo que la estructura sería girar la dirección.
Ya que Fy está apuntando hacia arriba, causaría rotación positiva sobre D (a la izquierda), por lo que multiplicas Fy por la distancia de D, que es 40 metros. Esta distancia es llamada el "brazo del momento".
Al 100 kN de fuerza rotación negativa, por lo que se obtiene multiplicado por su distancia de 20 m y el resta del primer término.
La última fuerza es en el punto C, que si miró cuidadosamente, también causaría una rotación negativa. Esta vez, los 25 kN de fuerza obtiene multiplicado por el brazo del momento del 15 m, ya es la distancia perpendicular de D.
La ecuación resultante tiene sólo Fy como un desconocido y se puede solucionar.
Nota: Recordar el orden de las operaciones al resolver esta ecuación. Hacer todo de la multiplicación primero y luego sumar o restar.