Calculadora de resistencia de gran alcance de incredulidad (5 / 7 paso)

Paso 5: Una aplicación avanzada

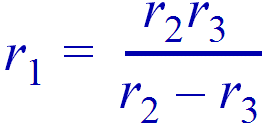
En esta aplicación vamos a mostrar cómo la calculadora puede trabajar con álgebra, así como números, esto puede usarse para encontrar las ecuaciones estándar de serie y circuitos paralelos o fórmulas más complejas.  El código y la salida será la única explicación aquí, utilizar los recursos en línea si usted necesita más información.

			

          

Artículos Relacionados

Cómo comprobar la polaridad de LED de gran alcance

Cómo comprobar la polaridad de LED de gran alcance

En este instructable le diré (ver) usted cómo averiguar la polaridad de un LED de gran alcance.Paso 1: Si estás perezoso para leer después de ver el Video (todo está escrito en el paso 2)Paso 2: proceso deEn LEDs potente puede ver las marcas de polar
Cómo hacer una batería de gran alcance del agua

Cómo hacer una batería de gran alcance del agua

en este Instructable voy a explicar cómo hacer una batería de gran alcance que funciona con agua de la lluvia!Esta batería es ambientalmente amigable porque puede funcionar en el agua de lluvia. Todavía necesita los metales. Agua destilada no va a fu
Lastre de gran alcance impulsado Flyback

Lastre de gran alcance impulsado Flyback

Este es uno de mis primeros proyectos. Así que por favor ignorar los errores. Gracias.Este proyecto de crear una gran cantidad de julios. Estamos hablando acerca de alto voltaje y la corriente que puede matar a alguien al instante. Sólo tenga cuidado
Suplementos de antioxidantes de gran alcance

Suplementos de antioxidantes de gran alcance

estos días todo el mundo parece tener cáncer. Hay demasiada contaminación, radiación, comida mala y agua mal en nuestro mundo. Los antioxidantes son una forma muy potente para combatir estos peligros dentro de nuestros propios cuerpos. Estos suplemen
Cañón de aire de gran alcance

Cañón de aire de gran alcance

http://www.youtube.com/watch?v=dDp7Ool6QwcEste instructable le mostrará cómo crear un cañón de aire. La mayoría de estas fuentes puede encontrarse en un home depot u otros ferretería. El resto se puede pedir de amazon. Este es un proyecto medianament
Ballesta de bolsillo de gran alcance! (No bandas de caucho o paños pins!)

Ballesta de bolsillo de gran alcance! (No bandas de caucho o paños pins!)

yo he construido algunas ballestas de bolsillo Popsicle stick fuera algunas cosas ahí en la casa. Yo estoy contemplando un paso a paso instructable para todos, sin embargo me preocupa algún niño hará uno y decidir era una buena idea para disparar a s
Puntero láser de gran alcance.

Puntero láser de gran alcance.

En esta instuctable te voy a mostrar cómo hacer un láser de mano potente. Casi todas las piezas son fáciles de encontrar en Internet. Hay sólo una parte que debe ser producida por un torno, todo lo demás se puede hacer con facilidad.ADVERTENCIA: esto
3D impreso - de gran alcance LED POI

3D impreso - de gran alcance LED POI

Resplandor que se pega, LED POI manipulación, malabares de fuego y pirotecnia, humanos ha sido una gran parte de mi vida la diversión.El único problema que tuve durante todos los años de tesis no encontraba poderoso suficiente POI de LED que podría c
ATTiny USI I2C introducción - una interfaz de comunicación de gran alcance, rápido y conveniente para sus proyectos ATTiny!

ATTiny USI I2C introducción - una interfaz de comunicación de gran alcance, rápido y conveniente para sus proyectos ATTiny!

I2C, es un estándar que ha sido de alrededor de alrededor de 20 años y ha encontrado aplicaciones en casi todos los rincones del universo de la electrónica.  Es una tecnología muy útil para nosotros aficionados del microcontrolador, pero puede parece
Altavoz de gran alcance de cero

Altavoz de gran alcance de cero

¡Hola mundo! Este es mi primer ' ible, por lo que cualquier sugerencias / correcciones sería mucho apreció.He estado jugando alrededor con bobinas de alambre y de imanes poco, haciendo pequeños altavoces para un par de años y por último quería hacer
Cómo hacer barato pero muy de gran alcance LED bombillas

Cómo hacer barato pero muy de gran alcance LED bombillas

ha pasado casi un año desde que empecé a "LEDify" mi casa, con resultados más o menos alentadoras, pero sólo un accidente me hizo encontrar la mejor solución hasta ahora.Paso 1: motivación ¿Con qué frecuencia sucedió que usted o alguien en su fa
Vídeo de gran alcance de luz menores $100

Vídeo de gran alcance de luz menores $100

No estoy satisfecho con el LED video luces hacia fuera allí en términos de coste frente a salida de luz. Compré varios luz video del LED pero ninguno vive a la expectativa. Así que la única alternativa es construir uno yo mismo. Uno que puede funcion
RedBitOne - pequeña pero de gran alcance

RedBitOne - pequeña pero de gran alcance

Una ruptura pequeña atmega328p-au con todo el poder de la ONU Arduino(TM), verlo conduciendo su próximo proyecto de micro!Visita el Blog y participar en una encuesta sobre un AVRisp$ 10!OPEN SOURCE---todos los archivos están en El GITHUBno dude en ut
Gran alcance de francotirador para cualquier Rifle de KVG

Gran alcance de francotirador para cualquier Rifle de KVG

esto es sólo una aplicación alcance un arma KVG, así que no te molestes en decir "gay" y cosas. Mi Instructable primera también es así por favor dar retroalimentación.Paso 1: Algunas piezas especiales Auto explicativoPaso 2: Ámbito de aplicación