Paso 6:







Revisión de hardware
Esta es nuestra primera vez utilizar un brújula electrónica y un acelerador. Por lo tanto, que hemos recopilado algunos artículos sobre el mecanismo y uso de la brújula electrónica en línea. Aquí nos hemos gustado compartir con ustedes algunos datos que tenemos.
Cómo mostrar la dirección del polo norte magnético
Una brújula electrónica es un instrumento usado para la navegación y la orientación que muestra la dirección en relación con los puntos cardinales geográficos, o "puntos". Generalmente, un diagrama llamado color de rosa, una brújula que muestra las direcciones norte, sur, este y oeste como abreviadas iniciales marcan en la brújula. En la siguiente imagen muestra el vector de campo de tierra.
Eje x y eje y están en la misma superficie horizontal y son perpendiculares entre sí. Eje z representa la dirección de la gravedad. Acimut α es el ángulo entre el norte magnético y la dirección de partida. Norte magnético es la dirección de je, componente de campo de la tierra perpendicular a la gravedad.
1) acimut α es el ángulo entre el norte magnético y la dirección de partida.
2) λ declinación es el ángulo entre el norte geográfico o verdadero y norte magnético.
La declinación es dependiente en la tierra de la posición actual. También tiene una deriva a largo plazo. Declinación λ en Shanghai es de 4,3 ° al oeste. Declinación λ en Dalian es 7,5 ° al oeste. Nosotros debemos compensar la inclinación en el cálculo de grado de los acimutes verdaderos con brújula.
CONCLUSIÓN:
una, que podemos conseguir el grado de α, una vez que tenemos los parámetros de eje x y eje y y la función arctan. También podemos obtener la dirección del polo norte magnético.
b, declinación λ dentro de un área específica es relativamente constante. Así, una vez tenemos la declinación λ y el norte magnético poste, podemos averiguar del polo norte geográfico.
Teoría de la compensación de inclinación
1. ¿por qué es necesaria la compensación de inclinación?
La instalación de prueba debe estar paralela con el suelo. Cuando la planta se inclina, se verá afectado la exactitud de los acimutes. Así, tenemos que medir el ángulo de la echada y ángulo del rodillo con un acelerador.
2. método de compensación de inclinación
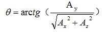
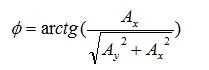
El ángulo de la echada de una partícula cargada es el ángulo entre el vector de la velocidad de la partícula y el campo magnético local. Ángulo del rodillo se mide respecto a la horizontal. Medir el componente gravitacional de aceleración del eje x, eje y y eje z. Fórmula 2 y calcular el grado de ángulo del rodillo y de inclinación.
Por favor consulte el mapa para el rollo de ángulo y ángulo.
Convertir los parámetros de magnetómetro en relación con el eje x, eje y y eje z a lo que estaban en la superficie horizontal.
Fórmula de conversión (véase el cuadro);
Con la fórmula uno, obtendrá el ángulo de la trayectoria con la compensación de inclinación se completa. Una vez tengamos la declinación corregida λ, el ángulo de la trayectoria estable existe, que nos ofrece información sobre la dirección del Polo Norte.
Algunos relacionados con la función matemática
PI //constant
ATAN2(y,x); función tanarc
sq(); función cuadrado Chi
sqrt; función cuadrado Chi