Paso 1: Mathing el arco


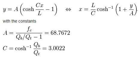
Creció en St. Louis, he estado en mi parte de excursiones al arco. También tuvimos problemas de matemáticas y ciencias que involucran el arco. En algún lugar del camino ha sido grabado en mi memoria que el arco no es una hipérbola regular, sino un coseno hiperbólico con la misma altura y anchura de 630 pies.
Me imagino que si estoy construyendo una maqueta a escala del arco, así podría tomar orgullo en su exactitud. Y un viaje rápido a la Wikipedia me dio la fórmula exacta que se utiliza en el diseño.